丁醇醚化三聚氰胺树脂
浏览: 0
导读:丁醇醚化三聚氰胺树脂 : 本品系多羟甲基三聚氰胺[3]与丁醇反应(醚化)的产物。反应是在过量丁醇存在下,在酸催化剂存在下进行的。过量的丁醇有利于醚化反应,未反应的丁醇可作为溶剂。改性后的丁醇醚化三聚氰胺树脂含有一定量的丁氧基,使之可溶于有机溶剂,并能与醇酸树脂很好地互溶。在不同的极性溶剂内的溶解度及与不同类型的
丁醇醚化三聚氰胺树脂 :

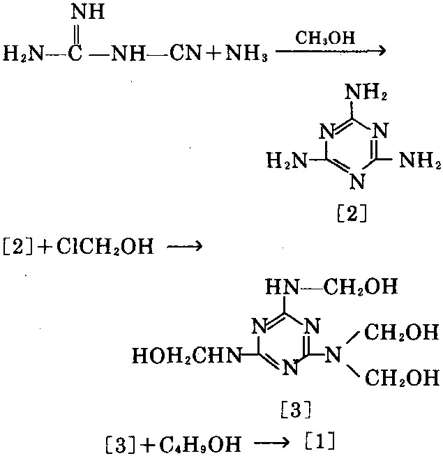
本品系多羟甲基 三聚氰胺[3]与丁醇反应(醚化)的产物。反应是 在过量丁醇存在下,在酸催化剂存在下进行的。 过量的丁醇有利于醚化反应,未反应的丁醇可 作为溶剂。改性后的丁醇醚化三聚氰胺树脂含 有一定量的丁氧基,使之可溶于有机溶剂,并能 与醇酸树脂很好地互溶。在不同的极性溶剂内 的溶解度及与不同类型的醇酸树脂的混溶性都 与丁氧基的含量有关,与醇酸树脂的混溶性还 与本树脂的缩聚度有关。在上述醛化反应中,同 时进行缩聚和醚化,缩聚是羟甲基与羟甲基间 及与未反应的活泼氢之间的反应,醚化是羟甲 基与丁醇之间的反应,这两个反应是同时进行 的,又是互相竞争的。若缩聚反应快于醚化反 应,树脂相对分子质量增大、粘度高、混溶性降 低、稳定性不良。若醚化反应快于缩聚反应时, 树脂相对分子质量减小、交联度小、粘度降低、 干性慢、硬度低。这两个反应的快慢取决于反应 系统的pH值。酸量多,pH值低,缩聚反应快于 醚化反应,对产品质量不利,树脂粘度增高,甚 至胶凝;酸量少,pH值接近中性,醚化反应快于 缩聚反应。所以可以用pH值来控制反应,既能 达到一定的缩聚度,具有高分子的优良性质,又 能有足够的丁氧基,使之有优良的溶解性、稳定 性。通常将pH值控制在4.5~6.0。作为催化剂的 酸,可用盐酸、乙酸、磷酸、油酸、草酸、氯乙酸及 邻苯二甲酸酐。双氰胺与氨在甲醇溶液中,在 200℃下反应,生成[2],[2]再与氯甲醇反应,生 成[3],[3]与丁醇反应,可制得[1]。

作为树脂,是以[3]与甲醛、丁醇为原料,进 行聚合,可制得丁醇醚化三聚氰胺甲醛树脂。 [3]+HCHO+C4H9OH→

本品可用于制涂料、粘合剂。根据不同场 合,采用不同的配方。低醚度时,各物质的摩尔 比为三聚氰胺:甲醛:丁醇=1:6.3:5.4;高 醚度时三聚氰胺:甲醛:丁醇=1:6.3: 6.3。
客服热线:
