丁磺氨
浏览: 0
导读:丁磺氨 : 又称6-甲基-1,2,3-噻嗪-4(3H)-1-酮-2,2-二氧化物,从苯或氯仿中析出者为针状结晶。相对分子质量163.15。熔点123~123.5℃。其钾盐称为丁磺氨钾[2],是一种白色晶体。无嗅。有强烈甜味。相对密度1.83。熔点250℃。微溶于乙醇。极易溶于水(20℃时30)、二甲基甲酰胺、二甲基亚砜。大鼠经口LD507400mg/kg。用途:
丁磺氨 :

又称6-甲基-1,2, 3-噻嗪-4(3H)-1-酮-2,2-二氧化物, 从苯或氯仿中析出者为针状结晶。相对分子质 量163.15。熔点123~123.5℃。其钾盐 称为丁磺氨钾[2],是一种白色晶体。无嗅。有强 烈甜味。相对密度1.83。熔点 250℃。微溶于乙醇。极易溶 于水(20℃时30)、二甲基甲 酰胺、二甲基亚砜。大鼠经口 LD507400mg/kg。
用途: 用作无热值甜味 剂,其甜味相当于蔗糖的200 倍,与其他甜味剂一起使用, 可起协同作用,不被人体吸 收,可全部排出体外,ADI值 为15mg/kg。联合国粮农组 织(FAO)及美国食品和药物 管理局(FDA)1984年允许用作食品添加剂,即 使在pH=3.0的饮料中也可使用,目前已有二 十余国家使用。
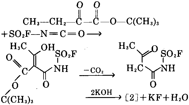
制法:①以丙炔和异氰酸氟磺酰为原料 合成。

②以丁酮酸叔丁酯和异氰酸氟(氯)磺酰 为原料,可制得[2]。

客服热线:
