三丙胺
浏览: 15
导读:三丙胺 : 本品为无色透明液体。有氨臭。呈强碱性。相对分子质量143.28。相对密度0.7558。熔点-93.5℃。沸点156~158℃。折射率1.4181。闪点40.55℃。不溶于水,溶于乙醇、乙醚。有毒,能强烈刺激皮肤和眼粘膜及上呼吸道。工作场所最高允许浓度2mg/m3。本品易燃,与空气接触后会形成爆炸混合物,宜用玻璃瓶密闭包装,在避光、阴凉
三丙胺 :

本品为无色 透明液体。有氨臭。呈强 碱性。相对分子质量 143.28。相对密度0.7558。 熔点-93.5℃。沸点 156~158℃。折射率 1.4181。闪点40.55℃。不 溶于水,溶于乙醇、乙醚。有毒,能强烈刺激皮肤 和眼粘膜及上呼吸道。工作场所最高允许浓度 2mg/m3。本品易燃,与空气接触后会形成爆炸 混合物,宜用玻璃瓶密闭包装,在避光、阴凉通 风处贮存。
用途: 有机合成原料,制取全氟化人造血 浆;季铵分子筛催化剂;用于激光技术;农药及表 面活性剂原料。
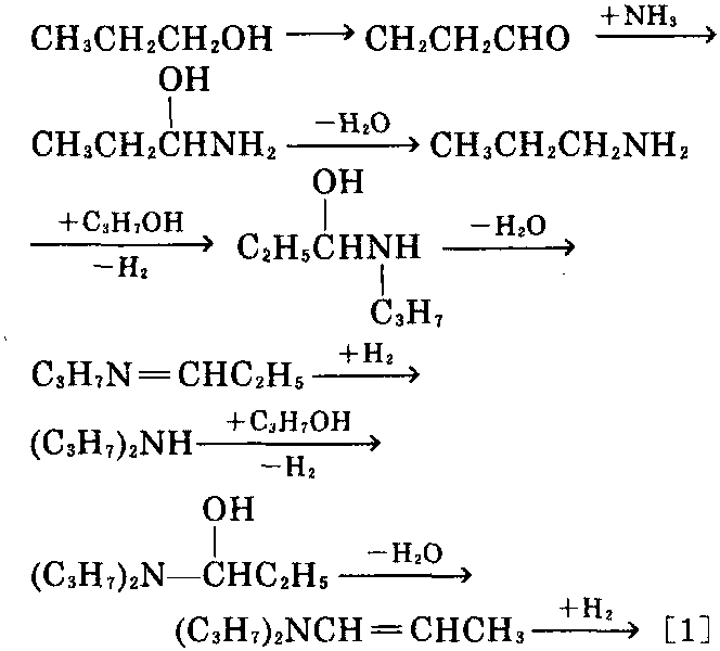
制法: 以纯正丙醇为原料,在催化剂(NiCu-Al2O3)催化下,在210℃及0.4MPa下,脱 氢成丙醛,再与氨加成生成羟基丙胺,经脱水成 丙胺。然后经反复脱水、加氢成二丙胺和[1]。

客服热线:
