三甘醇二硫醇
浏览: 2
导读:三甘醇二硫醇 : 又称二巯基三甘醇、三乙二醇二硫醇、1,8-二巯基-3,6-二氧代辛烷。透明液体。相对分子质量150.3。相对密度1,120(20℃)。沸点225℃(分解)、115℃(0.400×103Pa)。闪点129.4℃。微溶于水(20℃时2.0),易溶于乙醇、乙醚和甲苯。对皮肤、粘膜和眼睛有中等程度的刺激。大鼠经口LD50835mg/kg。避免与碱共贮。用途:
三甘醇二硫醇 :

又称二巯基三甘醇、三乙二醇二硫醇、1, 8-二巯基-3,6- 二氧代辛烷。透明 液体。相对分子质 量150.3。相对密度 1,120(20℃)。 沸点225℃(分解)、 115℃(0.400×103Pa)。闪点129.4℃。微溶于 水(20℃时2.0),易溶于乙醇、乙醚和甲苯。对皮 肤、粘膜和眼睛有中等程度的刺激。大鼠经口 LD50835mg/kg。避免与碱共贮。
用途: 用作功能性高分子材料的原料;多元 硫系列的液体橡胶的改性单体;环氧树脂的特殊 交联剂;聚氨酯的改性组分;有机合成原料。
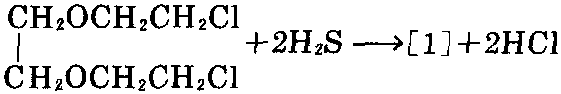
制法: 以二氯三甘醇为原料经巯基化反应 可制得。可作为巯基化剂的有硫化氢、硫氢化钠 和硫脲。
![]()
客服热线:
