三甲基氢醌
浏览: 3
导读:三甲基氢醌 : 又称2,3,5-三甲基对苯二酚、假枯基二酚,简称TMHQ。从水中析出者为白色针状结晶。相对分子质量152.19。熔点170~172℃(分解)。难溶于冷水,溶于丙酮、乙醇、乙酸乙酯和苯。大鼠经口LD503200mg/kg。用途: 用作维生素E的原料,维生素E用于医药;用于食品抗氧化剂,其抗氧化能力虽较BHA和BHT低,但维生素E的毒性极低;也
三甲基氢醌 :

又称2,3,5-三甲基对苯二酚、假枯基 二酚,简称TMHQ。从 水中析出者为白色针状 结晶。相对分子质量 152.19。熔点170~ 172℃(分解)。难溶于冷 水,溶于丙酮、乙醇、乙 酸乙酯和苯。大鼠经口 LD503200mg/kg。
用途: 用作维生素E的原料,维生素E用于 医药;用于食品抗氧化剂,其抗氧化能力虽较 BHA和BHT低,但维生素E的毒性极低;也用作 工业用抗氧化剂,防止长链不饱和脂肪酸的酸 败,此外,本品还用作阻聚剂和树脂的原料。
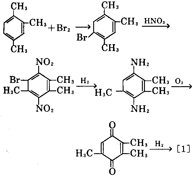
制法: 以1,2,4-三甲基苯为原料,在氯化 铝催化作用下,与溴反应,生成5-溴-1,2,4- 三甲苯,在混酸中进行硝化,生成5-溴-3,6- 二硝基-1,2,4-三甲苯,然后在甲醇溶液中, 在高温和高压下,以阮莱镍为催化剂,进行加 氢,生成3,6-二氨基-1,2,4-三甲苯,进-步 氧化,生成2,3,5-三甲基苯醌,进一步还原,可 制得[1]。粗制[1]经分离、冷水洗涤后,在乙醇 或热水中溶解,重结晶,可得精制[1]。

客服热线:
