2,4,5-三异丙基苄醇
浏览: 0
导读:2,4,5-三异丙基苄醇 : 又称2,5-二异丙基枯茗醇、2,4,5-三异丙基苯甲醇。白色晶体。有较弱的麝香气味。相对分子质量234.39。熔点60℃。沸点156~158℃(0.007~0.0011MPa)。微溶于水,易溶于乙醇、乙醚。用途: 用作食用香料,用于软饮料、冰淇淋、糖果、焙烤食品;也用于化妆品。制法: 以异丙苯为原料,用异丙醇进行烷基化,生成
2,4,5-三异丙基苄醇 :

又称2,5-二异 丙基枯茗醇、 2,4,5-三异 丙基苯甲醇。 白色晶体。有 较弱的麝香 气味。相对分 子质量234.39。 熔点60℃。沸 点156~158℃(0.007~0.0011MPa)。微溶于水, 易溶于乙醇、乙醚。
用途: 用作食用香料,用于软饮料、冰淇 淋、糖果、焙烤食品;也用于化妆品。
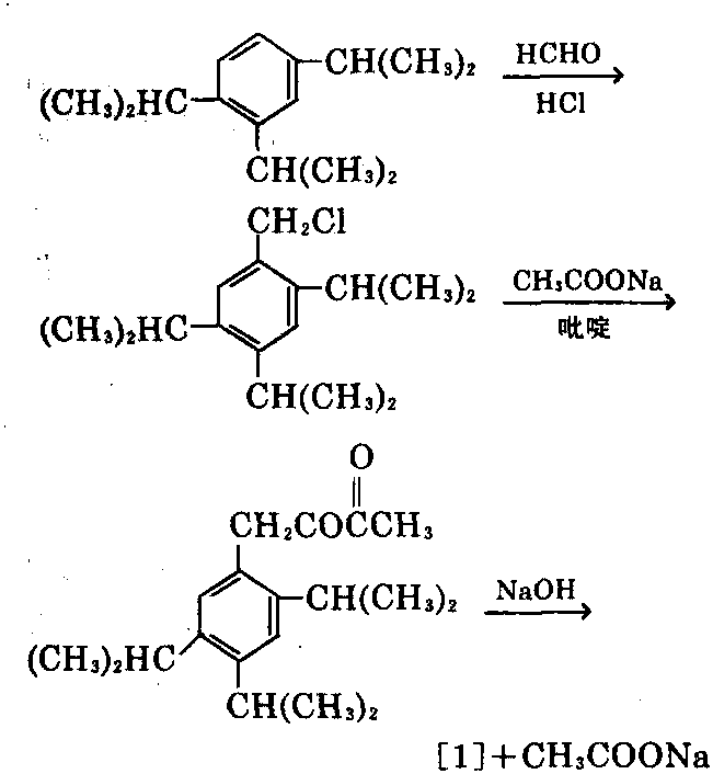
制法: 以异丙苯为原料,用异丙醇进行烷 基化,生成1,3,4-三异丙基苯,再在甲醛溶液 中进行氯甲基化,生成三异丙基氯苄,进一步在 吡啶存在下,使三异丙基氯苄与乙酸钠在125℃ 下反应,制得乙酸三异丙基苄酯,最后用氢氧化 钠皂化,可制得[1]。


经精制提纯可获得精细产品。
客服热线:
