β-萘甲醚
浏览: 2
导读:β-萘甲醚 : β -Naphthyl methyl etherYara yaraNerolin yara yaraβ -萘甲醚在稀释状态下具有橙花和金合欢花似的香气。外观为白色结晶,熔点72~73℃,沸点274℃,138℃/1.3kPa。根据RIFM提供的资料,β-萘甲醚的急性毒性数据:口服LD505g/kg(大鼠),皮试LD505g/kg(兔子)。商品规格制造商 最低含量(色谱法)/% 最低熔点/℃ 闪点/
β-萘甲醚 :

β -Naphthyl methyl ether
Yara yara
Nerolin yara yara
β -萘甲醚在稀释状态下具有橙花和金合欢花似的香气。外观为白色结晶,熔点72~73℃,沸点274℃,138℃/1.3kPa。
根据RIFM提供的资料,β-萘甲醚的急性毒性数据:口服LD50>5g/kg(大鼠),皮试LD50>5g/kg(兔子)。
商品规格
| 制造商 | 最低含量(色谱法)/% | 最低熔点/℃ | 闪点/℃ |
| GIV(1961) | — | 71.5 | — |
| H&R(1998) | 99 | 71.5 | >100 |
| IFF(1992) | 98 | 71 | — |
| Rus(1990) | — | 72 | — |
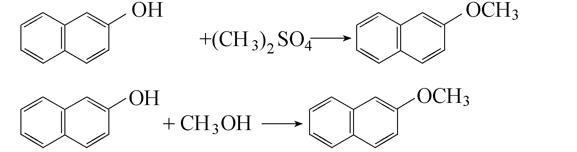
β-萘甲醚可以β-萘酚为原料,在苛性钠溶液里,用硫酸二甲酯甲基化而得。也可将β-萘酚在硫酸存在下,同甲醇反应而成。粗产品须用升华法提纯,才能获得符合调香要求的产品。

β-萘甲醚可用于日化香精配方中。它主要用于肥皂和合成洗涤剂香精配方中,用量在10%以内。IFRA没有限制规定。
客服热线:
