三松香酸甘油酯
浏览: 0
导读:三松香酸甘油酯 : 又称酯胶。浅黄色或黄褐色透明玻璃样块状,易碎。略有特殊气味。相对分子质量945.4。相对密度1.08。不溶于水,溶于苯、甲苯、石油、松节油、亚麻仁油。软化点70~126℃。在空气中易氧化,粉末有自燃性,可自燃爆炸。用途: 我国GB2760—1996规定可用作胶姆糖基础剂,用于泡泡糖、口香糖。制法: 松香酸、乙醇和甘
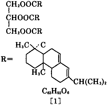
三松香酸甘油酯 :

又 称酯胶。浅黄色或黄褐色透明玻璃样块状,易 碎。略有特殊气味。相对分子质量945.4。相对密 度1.08。不溶于水,溶于苯、甲苯、石油、松节油、 亚麻仁油。软化点70~126℃。在空气中易氧化, 粉末有自燃性,可自燃爆炸。
用途: 我国GB2760—1996规定可用作胶 姆糖基础剂,用于泡泡糖、口香糖。
制法: 松香酸、乙醇和甘油在加热下凝聚 而制得。工业制品常含松香酸甲酯和乙酯。
客服热线:
