降龙涎香醚
浏览: 4
导读:降龙涎香醚 : 2,6,6,10-Tetramethyl-11-oxatricyclo[8.3.0.02,7]tridecane8,12-Epoxy-13,14,15,16-tetranorlabdaneAmbroxAmbrox DLAmbroxanAmbroxideSynambran降龙涎香醚是天然龙涎香最重要的成分之一,经鉴定它存在于龙涎香酊剂的有香成分中。降龙涎香醚具有强烈、富足的龙涎香香气,并带有温和的木香香调。外观为结晶物,熔
降龙涎香醚 :

2,6,6,10-Tetramethyl-11-oxatricyclo[8.3.0.02,7]tridecane
8,12-Epoxy-13,14,15,16-tetranorlabdane
Ambrox
Ambrox DL
Ambroxan
Ambroxide
Synambran
降龙涎香醚是天然龙涎香最重要的成分之一,经鉴定它存在于龙涎香酊剂的有香成分中。
降龙涎香醚具有强烈、富足的龙涎香香气,并带有温和的木香香调。外观为结晶物,熔点75~76℃,沸点102~106℃,非纯品常为黏性液体,凝固点不低于20℃。
根据德国Henkel公司提供的资料,降龙涎香醚的急性毒性数据:口服LD50>3.1g/kg(老鼠)。
商品规格
| 制造商 | 品名 | 最低含量
(色谱法)/% | 最低熔点/℃ | 闪点/℃ |
| Firm(1983) | Ambrox | 60(主要异构体) | 50 | — |
| Firm(1992) | Ambrox DL coeur | — | 55 | >100 |
| Henkel | Ambroxan | 90(异构体总量) | — | 161 |
| Wacker(1987) | Synambran | 90(异构体总量) | — | 65 |
| Rus(1990) | Ambroxide | — | 20 | — |
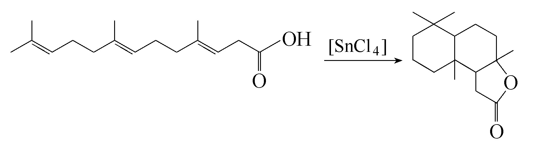
降龙涎香醚的工业生产方法,现均主要采用香紫苏醇为起始原料。香紫苏醇存在于提取香紫苏油后的香紫苏残渣里,可用选择性溶剂从固体残渣中浸提分离出香紫苏醇。
先用氧化剂将香紫苏醇氧化成为香紫苏内酯,继之再用还原剂将内酯还原成二醇,最后再在酸性条件下将二醇进行真空脱水,便得到降龙涎香醚(化学世界,1983,№4,102)。

商品中通常降龙涎香醚的含量为55%~60%,其他主要副产物有2%~5%的异降龙涎香醚,以及30%~38%的二环高金合欢醇等。
由于香紫苏醇来自香紫苏植物的残渣里,而香紫苏植物分布很少,其主产地在前苏联,资源非常有限,再加上香紫苏醇价格昂贵,因此必须寻找新的合成路线制造降龙涎香醚。由金合欢基羧酸环化生成香紫苏内酯,再按前述方法将内酯还原、脱水成为降龙涎香醚,便是其中方法之一(德国专利3240054)。

降龙涎香醚是一种价格昂贵的顶级合成香料之一,其1990年的世界产量仅为30t。用它配制龙涎香型和东方型香精,主要用于名贵香水的配方中。
降龙涎香醚在香精中只需使用0.1%~0.2%,就能起到极为明显的定香作用和提香效果。它在香精中所起的这种特殊作用,常被调香师称为龙涎香效应。
客服热线:
