三硬脂酸脱水山梨糖醇酯
浏览: 0
导读:三硬脂酸脱水山梨糖醇酯 : 又称司盘65。脂肪酸脱水山梨糖醇酯类之一。乳白色至黄色蜡状固体。稍有臭气。味平淡。相对分子质量963.48。熔点50~56℃。酸值12~15。皂化值176~188。羟值66~80。碘值2。HLB 2.1。不溶于水、甲醇、乙醇,难溶于甲苯、乙醚、四氯化碳及乙酸乙酯,能分散于石油醚、矿物油、植物油、丙酮及二噁烷,少
三硬脂酸脱水山梨糖醇酯 :

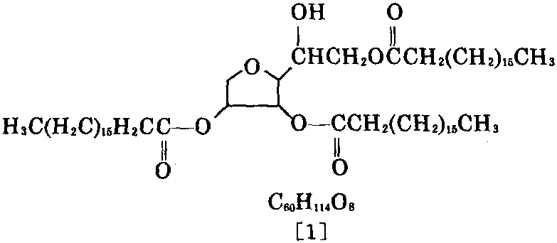
又称司盘65。脂肪酸脱水山梨糖 醇酯类之一。乳白色至黄色蜡状固体。稍有臭 气。味平淡。相对分子质量963.48。熔点 50~56℃。酸值12~15。皂化值176~188。羟值 66~80。碘值<2。HLB 2.1。不溶于水、甲醇、乙 醇,难溶于甲苯、乙醚、四氯化碳及乙酸乙酯,能 分散于石油醚、矿物油、植物油、丙酮及二噁烷, 少量溶于异丙醇、二甲苯及四氯乙烯中。
用途: 是我国GB2760—1996规定允许使 用的食用乳化剂,用作乳化剂、消泡剂、增稠剂、 稳定剂、润滑剂、柔软剂、抗静电剂、整理剂、纺 纱助剂等,用于食品(人造奶油、巧克力、奶糖及 冰淇淋等)、化妆品(膏霜、乳液、化妆水等)、洗涤 剂(低泡型)、医药、纺织、油漆(聚酯漆)、石油处 理剂、石油产品(乳液聚合添加剂)、火药(防结 块)、农药(乳化、分散)等方面。
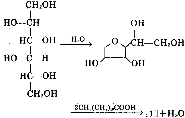
制法: 以山梨糖醇、硬脂酸为原料。先将山 梨糖醇脱水制成醇酐,再与过量硬脂酸进行酯 化反应,可制得[1]。
参见“脂肪酸脱水山梨糖醇酯类”、“单月桂 酸脱水山梨糖醇酯”。

客服热线:
