靛类染料
浏览: 1
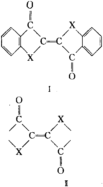
导读:靛类染料 : 靛类染料属于还原染料,是由天然染料靛蓝发展起来的一类最古老的染料,它的化学结构见式Ⅰ,其中X=NH者称之为靛蓝,X=S者称之为硫靛。前者只有蓝色,后者有橙、红、紫、棕、灰等颜色。靛类染料的分子量不是很大,但是它的色谱却很深,究其原因在于其分子结构中含有如式Ⅱ所示的 “H型”发色体。靛蓝最初是由A. Bayer在1
靛类染料 : 靛类染料属于 还原染料,是由天然染料靛蓝发展起来的一 类最古老的染料,它的化学结构见式Ⅰ,其 中X=NH者称之为靛蓝,X=S者称之为硫 靛。前者只有蓝色,后者有橙、红、紫、棕、 灰等颜色。靛类染料的分子量不是很大,但 是它的色谱却很深,究其原因在于其分子结 构中含有如式Ⅱ所示的 “H型”发色体。

靛蓝最初是由A. Bayer在1880年合成 的,1883年它的结构被确定。靛蓝的工业化 史对早期的有机化学发展有重要的推动作 用。在工业上靛蓝是由苯基甘氨酸经碱熔、氧 化后制得的,它是暗蓝色粉末,熔点390~ 392℃(在300℃左右开始升华),不溶于水、 碱、稀酸,可溶于有机溶剂。硫靛是由邻(羧甲 基巯基)苯甲酸先碱熔,然后用硫磺氧化该碱 溶液制得的,它是红棕色粉末,熔点>280℃ (熔点以下容易升华),不溶于水和醇,难溶于 氯仿,可溶于热的硝基苯。
靛类染料主要用于棉纤维的染色,风行 世界的牛仔服装就是用靛类染料染色的。
客服热线:
