顺式-4-癸烯醛
浏览: 0
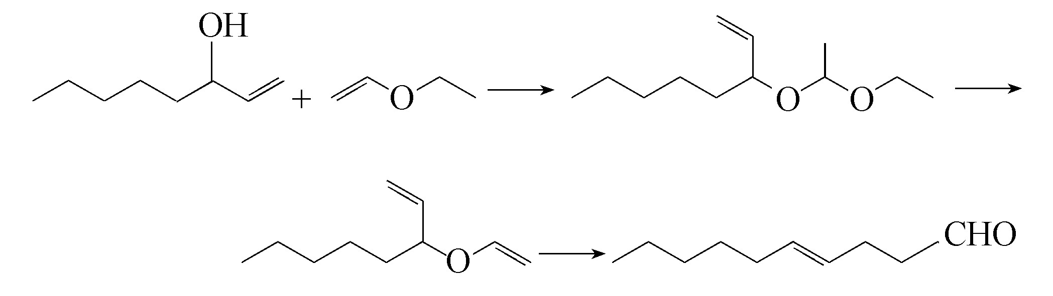
导读:顺式-4-癸烯醛 : cis-4-Decenal顺式-4-癸烯醛有强烈的醛香香气,稀释状态下有令人愉快的柑橘似的香气。外观为液体,沸点78~80℃/1333Pa,d2040.857,n20D1.444,闪点81℃。根据有关资料报道,顺式-4-癸烯醛的急性毒性数据:口服LD505g/kg(小鼠),皮试LD505g/kg(兔子)。顺式-4-癸烯醛可按下列方法合成。将1-辛烯-3-醇与乙烯基乙醚在
顺式-4-癸烯醛 : cis-4-Decenal

顺式-4-癸烯醛有强烈的醛香香气,稀释状态下有令人愉快的柑橘似的香气。外观为液体,沸点78~80℃/1333Pa,d2040.857,n20D1.444,闪点81℃。
根据有关资料报道,顺式-4-癸烯醛的急性毒性数据:口服LD50>5g/kg(小鼠),皮试LD50>5g/kg(兔子)。
顺式-4-癸烯醛可按下列方法合成。将1-辛烯-3-醇与乙烯基乙醚在酸性条件下加热反应生成缩醛,再脱去乙醇生成戊基烯丙基乙烯基醚,最后经Claisen重排而生成顺式-4-癸烯醛。

顺式-4-癸烯醛可用于香皂、合成洗涤剂、化妆品、香水等日化产品香精的配方中。
客服热线:
