丁烯醛
浏览: 14
导读:丁烯醛 : 乙醛经羟醛缩合制得的3-羟基丁醛[1],用酸可很容易地脱水而成丁烯醛。工业化生产亦采用此法。丁烯醛丁烯醛又称β-甲基丙烯醛、2-丁烯醛、巴豆醛。有顺式和反式两种异构体,通常为反式。为无色液体,有刺激性气味,可燃,分子量70.09,相对密度0.8495 (25℃)、熔点-74℃,沸点104~105℃,燃点8℃,折射率1.4366 (20℃)。溶
丁烯醛 : 乙醛经羟醛缩合制得 的3-羟基丁醛[1],用酸可很容易地脱水而 成丁烯醛。工业化生产亦采用此法。

丁烯醛
丁烯醛又称β-甲基丙烯醛、2-丁烯醛、巴 豆醛。有顺式和反式两种异构体,通常为反 式。为无色液体,有刺激性气味,可燃,分 子量70.09,相对密度0.8495 (25℃)、熔点 -74℃,沸点104~105℃,燃点8℃,折射率 1.4366 (20℃)。溶于水 (20℃时18.2g/ 100ml)、乙醇、乙醚、苯和甲苯,也溶于丙 酮。催泪性极强,对眼膜有强刺激性。曾用 丁烯醛经选择性还原双键而成正丁醛,再将 醛还原为正丁醇。
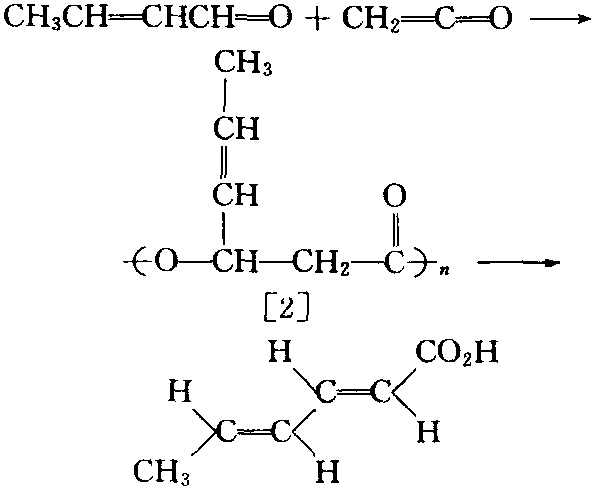
丁烯醛的用途,最近引入注目的是作为 山梨酸的原料。即丁烯醛在惰性溶剂中与乙 烯酮反应,变为聚酯 [2]。然后用加热分解 法或酸水解法解聚而成山梨酸 [3]。山梨酸 及其钾盐、钙盐等,均可用作食品添加剂。
将丁烯醛与甲醇加成,变为3-甲氧基丁 醛[4],然后经加氢制成3-甲氧基丁醇[5]。 后者可用作水压机用工作流体的成分,其乙 酸酯可作涂料用溶剂。

山梨酸 [3]

![]()
[5]
CH3CH=CHCH=O→
CH3CH=CHCO2H
[6]
将丁烯醛用空气或氧气氧化,很容易制 得丁烯酸(巴豆酸)[6]。丁烯酸可用作共聚 物的组分,还用于制正丁醇、正丁醛、橡胶 硫化促进剂、酒精改性剂和鞣革剂。
客服热线:
