大马烯酮
浏览: 0
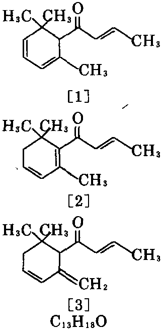
导读:大马烯酮 : 又称突厥烯酮、(2,6,6-三甲基-1,3-环己二烯-1-基)-2-丁烯酮、2,6,6-三甲基-反-1 -巴豆酰基-1,3-环己二烯。有3种异构体,即α-大马烯酮[1]、β-大马烯酮[2]、γ-大马烯酮[3]。通常所指系[2]。[2]在三者中最早被发现,也是研究较多者。1970年在保加利亚的玫瑰油中发现了[2],成为香料新物种之一。无色至浅黄色油状液
大马烯酮 :

又称突厥烯 酮、(2,6,6-三甲基-1,3-环己二烯-1-基)- 2-丁烯酮、2,6,6- 三甲基-反-1 - 巴豆酰基-1,3-环 己二烯。有3种异构 体,即α-大马烯酮 [1]、β-大马烯 酮[2]、γ-大马烯 酮[3]。通常所指系 [2]。[2]在三者中 最早被发现,也是 研究较多者。1970 年在保加利亚的玫 瑰油中发现了[2], 成为香料新物种之 一。无色至浅黄色 油状液体。有浓郁 的玫瑰样香气,即 使含量低于0.01%,亦可嗅得其香气。相对分子 质量190.28。相对密度0.942。沸点 116~118℃(1.733×103Pa)、57℃(0.133Pa)。折 射率1.5123。
用途: 香料,调制化妆品及食用香精是我 国GB2760—1996规定允许使用的食用香料。
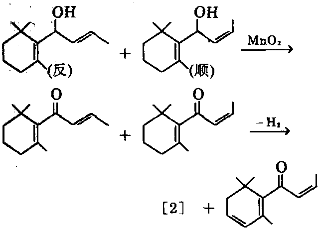
制法: 虽然本品存在于玫瑰、覆盆子及苹 果中,但含量均低,例如保加利亚玫瑰精油中仅 含0.05%,所以难以从天然物中单离,都是采用 合成的方法。①以2,6,6-三甲基四氢苯甲 醛(即β-环柠檬醛)为原料,采用Stoll合成法, 与格氏试剂或烯丙基锂作用,生成含丁烯醇基 化合物,再用二氧化锰氧化,生成β-二氢大马 酮,进一步催化脱氢,可制得[2]及其顺式体。催 化剂可用NBS。


②以三甲基环己烯酮为原料,与丁炔醇在 锂催化剂(氨基锂)作用下炔化(Arens-Van Dorp反应),再与甲酸作用,可制得[2]。

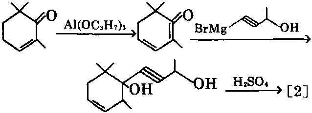
③ 以三甲基环己烯酮为原料,与丙氧基铝 反应,分子重排,再与格氏试剂反应,进行炔化, 最后与35%的硫酸作用,可制得[2]。

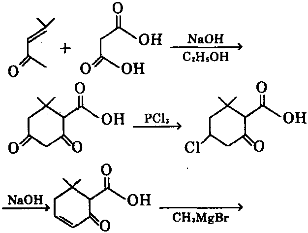
④以甲基戊烯酮和丙二酸为原料,在氢氧 化钠的乙醇溶液中进行反应,生成环己二酮,与 三氯化磷反应,进行氯氧化,生成环己酮,在碱 溶液中脱氯,生成环己烯酮,再与格氏试剂反 应,进一步烷基化及分子重排,可制得[3]。


⑤以β-紫罗兰酮为原料,按下式反应,可 制得[2]。

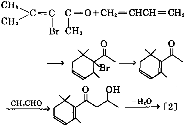
⑥ 以1,3-戊二烯与1-甲基-2-溴异丁 烯酮为原料,在催化剂三氯化铝作用下加热反 应,环化,生成2,6,6-三甲基-1-溴-1-乙酰 基环己-3-烯,再在催化剂LiF-Li2CO3作用 下,在二甲基甲酰胺介质中,脱溴,生成2.6.6- 三甲基-1-乙酰基-1,3-环己二烯,再与乙 醛缩合,最后在对甲苯磺酸或浓硫酸作用下脱 水,可制得[2]。

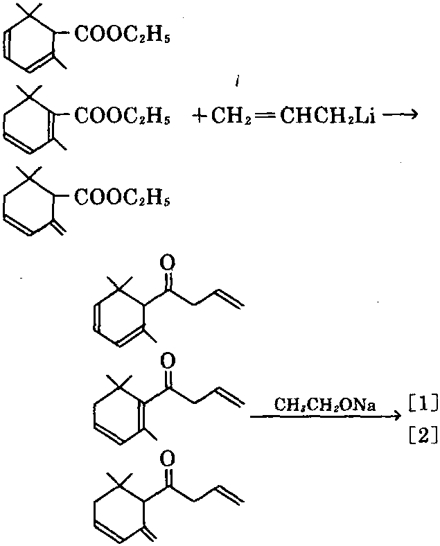
⑦以苯磺酰异戊-2-烯和溴代异丁烯酸 甲酯为原料,在丁基锂作用下,反应,在硫酸和 乙酸中,在丁醇钾作用下,水解脱苯磺酰基,生 成2,6,6-三甲基-1,3-环己二烯-1-羧酸甲 酯,在丙烯锂作用下异构化,可制得[2]。


⑧以相应的藏花酸(α-,β-或γ-)乙酯 为原料,用烯丙基锂处理,生成相应的2,6,6-三 甲基-丁烯酰基己二烯,在乙醇钠中加热催化 异构化,可制得[1]和[2]的混合物。

客服热线:
