大马酮
浏览: 0
导读:大马酮 : 又称突厥酮、2,6,6-三甲基-1-巴豆酰基环己烯。有3种异构体,即α-体[1]、β-体 [ 2 ] 、γ - 体[3],此外,尚存在δ-体[4]及ε-体[5]。相对分子质量176.30。市售品为α-、β-、γ-的混合物。天然品存在于玫瑰油、茶叶、烟叶中,且多为β-体。关于[4]、[5]的报道甚少。无色至浅黄色液体。有类似大马烯酮的玫瑰香气。由
大马酮 :

又称突厥酮、 2,6,6-三甲基-1-巴豆 酰基环己烯。有3种异构 体,即α-体[1]、β- 体 [ 2 ] 、γ - 体 [3],此外,尚存在δ-体 [4]及ε-体[5]。相对分 子质量176.30。市售品 为α-、β-、γ-的混合 物。天然品存在于玫瑰 油、茶叶、烟叶中,且多 为β-体。关于[4]、[5] 的报道甚少。

无色至浅黄色液 体。有类似大马烯酮的 玫瑰香气。由于烯键 的存在,有顺式体及 反式体。相对密度 0.930(β-,顺式)、 0.934(β-,反式)、 0.9367(α-)、0.9335 (γ- )。沸点52℃ (0.133Pa,β-,顺式)、 55℃(0.133Pa,β-, 反式),65~68℃(6.67 Pa,α-),55℃(0.133Pa, γ-)。折射率1.4957(β- 顺式),1.4980(β-,反式),1.4959(α-),1.4939 (γ-)。难溶于水,溶于乙醇、乙醚中。
用途: 香料,调制玫瑰系列香精,用于化妆 品;调制食品用、烟草用、酒用香精,是我国 GB2760—1996规定允许使用的食用香料。
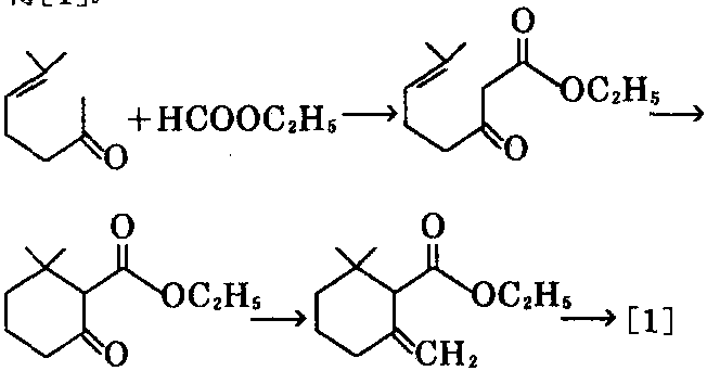
制法:①以柠檬醛和烯丙基格氏试剂为原 料,进行反应,生成6,10-二甲基-4-羟基- 1,5,9-十一烷三烯,在柯林斯试剂作用下氧化, 生成6,10-二甲基-1,5,9-十一烷三烯-4- 酮,再在叔丁醇钾作用下异构化,生化假性二氢 大马酮,在四氯化锡或磷酸作用下,环化,可制 得[1]。

② 以柠檬醛为原料,以氧化银为催化剂, 氧化生成柠檬酸,加氢闭环,生成环己基羧酸, 与氯化氢作用,生成2,6,6-三甲基-1-甲酰氯 环己烯,与丙酮反应,生成丁二酮基环己烯,在 催化剂作用下加氢(或用铁粉还原),最后脱水, 可制得[1]。


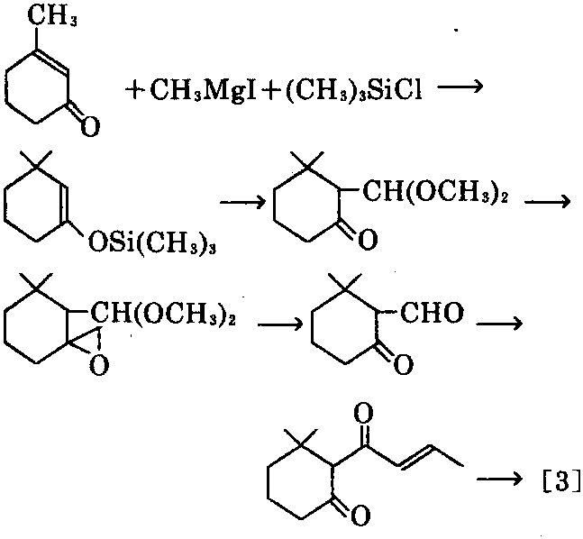
③以3-甲基环己-2-烯酮为原料,在碘 化亚铜的催化作用下,与甲基格氏试剂及三甲 基氯硅烷反应,生成2-三甲基硅氧基环己烯, 在四氯化钛的催化作用下与三甲氧基甲烷反应, 再与二甲基甲硅烷反应,生成6,6-二甲基- 1-(二甲氧基)甲基-2-环氧基环己烷,在盐 酸中,在四氯化钛催化作用下,进一步与丙烯反 应,最后氧化,可制得[3]。

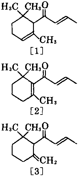
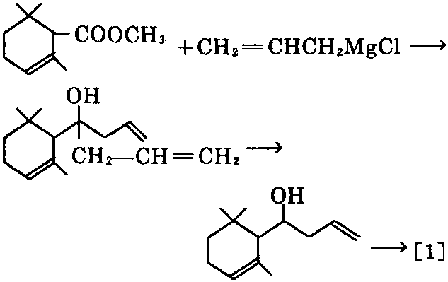
④以2,6,6-三甲基环己-2-烯基甲酸甲 酯为原料,与烯丙基格氏试剂反应,生成2,6,6- 三甲基-1-(4-羟基-1,6-庚二烯基)环己- 2-烯,在二甲基甲酰胺溶液中,在叔丁醇钾的 作用下,异构化,裂解,可制得[1]。

⑤以2,6,6-三甲基环己-2-烯基甲醛和 烯丙基格氏试剂反应,生成环己烯基丁烯醇,再 在铜锌催化剂作用下氧化,生成环己烯基丁烯 酮,在叔丁醇钾的碱溶液中异构化,可制得[1]。

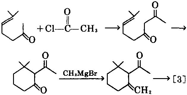
⑥ 以6-甲基-5-庚烯-2-酮为原料, 与乙酰氯反应,生成壬二酮,在酸催化剂作用下 闭环,生成1-乙酰基-6,6-二甲基环己-2- 酮,进一步与甲基格氏试剂反应,生成2-亚甲 基-6,6-二甲基-1-乙酰基环己烷,与氯乙 烯反应,最后在叔丁醇钾作用下异构化,可制得 [3]。

⑦以6-甲基-5-庚烯-2-酮为原料, 在醇钠的碱溶液中与碳酸乙酯反应,缩合,失去 一分子的醇,生成β-酮酯,再在酸催化剂作用 下环合,再与亚甲基三苯磷作用,使2-位酮基 变为亚甲基,最后与丙烯基格氏试剂反应,可制 得[1]。

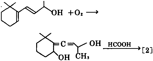
⑧以7,8-脱氢-β-紫罗兰醇为原料,在 光照下氧化,生成不饱和二醇,再用80%的甲酸 处理,可制得[2]。

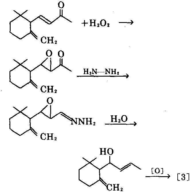
⑨以γ-紫罗兰酮为原料,用过氧化氢氧 化,生成环氧酮,再与肼作用,生成丙烯基醇,进 一步氧化,可制得[3]。

客服热线:
