多效唑
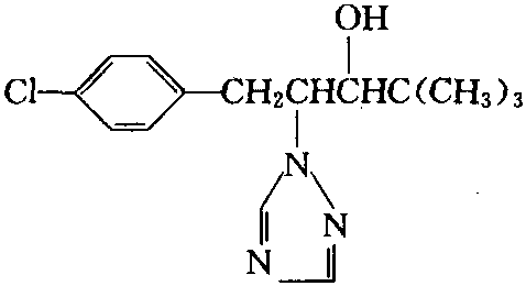
导读:多效唑 : C15H20ClN3O,分子量293.65。本品为无色结晶固体,熔点165~166℃,密度1.22g/cm3,20℃蒸气压0.001mPa。溶解性(20℃):水35mg/L,甲醇150g/L,丙二醇50g/L,丙酮110g/L,环己酮180g/L,二氯甲烷100g/L,己烷10g/L,二甲苯60g/L。稳定性:50℃下至少6个月内稳定;紫外光下、pH7、10d内不降解;在pH4、7和9下,对水解稳定,其水溶液
多效唑 : C15H20 ClN3O,分子量293.65。本品为无色结晶固体,熔点165~166℃,密度1.22g/cm3,20℃ 蒸气压0.001mPa。溶解性(20℃):水35mg/ L,甲醇150g/L,丙二醇50g/L,丙酮110g/ L,环己酮180g/L,二氯甲烷100g/L,己烷 10g/L,二甲苯60g/L。稳定性:50℃下至少 6个月内稳定;紫外光下、pH7、10d内不降 解;在pH4、7和9下,对水解稳定,其水溶 液在25℃至少稳定30d。大白鼠急性经口 LD502000 (雄)、1300 (雌) mg/kg。

首先将频那酮氯化,生成一氯频那酮,然 后与1,2,4-三唑反应,生成α-三唑基频那 酮,后者与对氯氯苄反应,生成酮式多效唑, 最后用还原剂还原,即制得多效唑。本品属 唑类植物生长调节剂,是赤霉素合成抑制剂, 减少植物细胞分裂和伸长,易被根、茎、叶 吸收,通过植物的木质部进行传导,并转移 至接近顶点的分生组织。具有向顶输导性,故 不会残留在果实中,对果实大小影响甚微。施 药方法有茎叶喷雾或与肥料混施、拌土处理, 既改善座果率和品质,又缩短植物生长期。对 禾本科植物有广泛活性,能使植物节间变得 短壮,施用较高剂量时,可抑制叶片生长,而 对繁殖器官无妨碍。主要用来使植物的茎缩 短,以减少倒伏、增加产量。
主要生产厂家有英国ICI公司、中国上 海联合化工厂、江苏省昆山化工厂等。
客服热线:
