蒽醌
导读:蒽醌 : 蒽醌[1]很早就已用作蒽醌类染料的原料,在染料工业占有重要的地位。蒽醌衍生物已在过氧化氢生产过程和纸浆工业中大量使用。蒽醌为浅黄色斜方晶系针状结晶,相对密度 1.438 (4℃),熔点 286℃,沸点379.3℃,折射率1.438 (4℃),可升华。微溶于水、乙醇、乙醚、氯仿、苯,溶于热的苯、浓硫酸、热的四氯化碳。性稳定,不易被氧
蒽醌 : 蒽醌[1]很早就
已用作蒽醌类染料的原料,在染料工业占有
重要的地位。蒽醌衍生物已在过氧化氢生产
过程和纸浆工业中大量使用。
蒽醌为浅黄色斜方晶系针状结晶,相对
密度 1.438 (4℃),熔点 286℃,沸点
379.3℃,折射率1.438 (4℃),可升华。微
溶于水、乙醇、乙醚、氯仿、苯,溶于热的
苯、浓硫酸、热的四氯化碳。性稳定,不易
被氧化,也不易被弱的还原剂还原,不易被
亲电子基取代,能用发烟硫酸加热磺化。
蒽醌的制法,除原有的蒽氧化法、邻苯
二甲酸酐(酞酐)的Friedel-Crafts法外,最
近又有以萘醌为原料的Diels-Alder法和苯
乙烯二聚法已达到实用阶段。
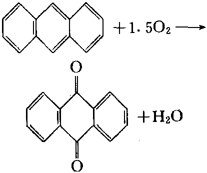
(1) 蒽的氧化 蒽存在于煤焦油中,含量
为1.5%,精制后纯度可达95%,但最多只能
得到其含量的一半左右。蒽可全部氧化成蒽醌。
蒽醌的工业制法,有用氧化铬在100℃
进行氧化的液相法和用钒酸铁为催化剂在
350℃进行空气氧化的气相法。这两种方法几
乎都是定量地反应。

[1]
(2)Friedel-Crafts法 将邻苯二甲酸酐 与苯在氯化铝存在下经缩合成邻苯甲酰苯甲 酸,然后以浓硫酸脱水闭环缩合而得蒽醌。这 个方法,如不用苯而用甲苯或氯苯,即可制 得2-甲基蒽醌或2-氯蒽醌[2]。

[2]
(3) Diels-Alder法 该法是1,4-萘醌 与丁二烯经Diels-Alder反应制得四氢蒽醌 [3],再经脱氢而成蒽醌的方法。该工艺由萘 制萘醌的收率极好。

[3]
由蒽醌可衍生成许多中间体 (特别是氨 基蒽醌、羟基蒽醌类)。这些蒽醌衍生物用于 合成还原染料、酸性染料、活性染料等高级 染料。
此外,由蒽醌氢化生成的蒽氢醌[4],可 在空气中被迅速氧化逆转为蒽醌,同时产生 过氧化氢。

[4]
利用上述原理,在工业上用于制造过氧 化氢。在实际生产上,因为使用溶剂苯和高 级醇的混合溶剂,所以使用的蒽醌是在此混 合溶剂中溶解度好的2-乙基蒽醌或2-叔丁 基蒽醌。
由蒽醌衍生的许多中间体 (特别是氨基 蒽醌、羟基蒽醌等) 可合成瓮染料、酸性染 料、反应染料等许多高级染料。用于生产过 氧化氢。在纸浆生产过程中添加蒽醌和四氢 蒽醌[3],能提高效率,因此作为纸浆添加 剂的用途正在扩大。
客服热线:
