二氯乙酸
浏览: 36
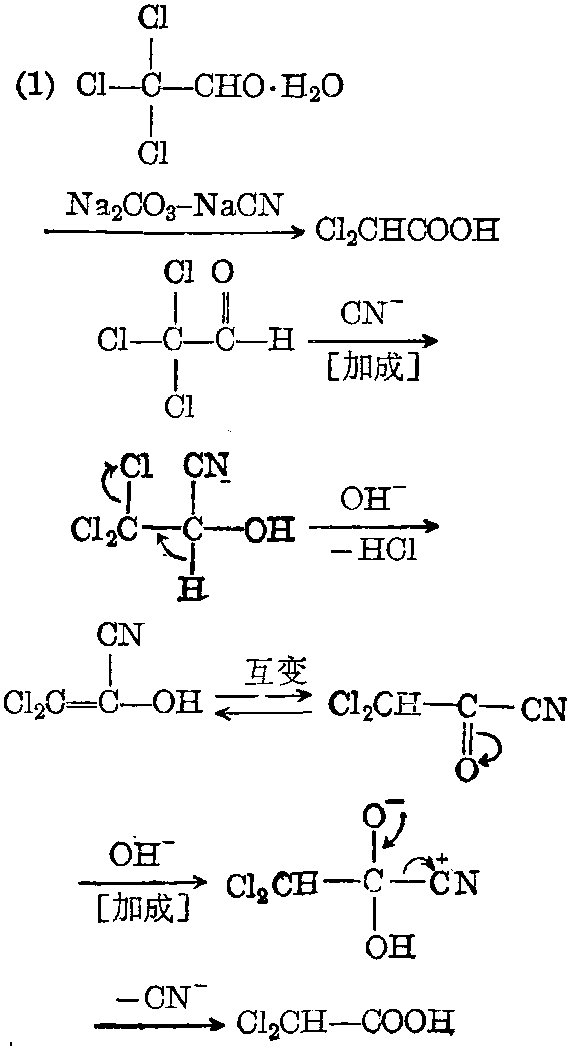
导读:二氯乙酸 : 化学式Cl2CHCOOH。分子量128.94。有刺激性液体。沸点193~194℃。比重1.563。酸性比氯乙酸强,离解常数K=5×10-2。可由醋酸直接氯化、水合三氯乙醛和CaCO3(或Na2CO3)及KCN在催化剂存在下反应(1),或由四氯乙烯出发制得(2):二氯乙酸及其酯主要用于有机合成。例如:
二氯乙酸 : 化
学式Cl2CHCOOH。分子量128.94。有刺
激性液体。沸点193~194℃。比重1.563。
酸性比氯乙酸强,离解常数K=5×10-2。
可由醋酸直接氯化、水合三氯乙醛和
CaCO3(或Na2CO3)及KCN在催化剂存
在下反应(1),或由四氯乙烯出发制得(2):



客服热线:
