己内酰胺
浏览: 1
导读:己内酰胺 : 又称ε-己内酰胺、六氢化-2H-吖庚因-2-酮、2-氧化六亚甲基亚胺、2-酮基六亚甲基亚胺、环己酮异肟。1899年S.Gabriel等首次合成。从石油醚中析出者为白色叶片状晶体。有吸湿性。有润滑感。受热易聚合。相对分子质量113.16。相对密度1.02(75℃)、70%的水溶液相对密度1.05(25℃)。熔点69~71℃。沸点262.5℃、180℃(
己内酰胺 :

又称ε-己内 酰胺、六氢化-2H-吖庚 因-2-酮、2-氧化六亚甲 基亚胺、2-酮基六亚甲基 亚胺、环己酮异肟。1899年 S.Gabriel等首次合成。从 石油醚中析出者为白色叶 片状晶体。有吸湿性。有润 滑感。受热易聚合。相对分子质量113.16。相对 密度1.02(75℃)、70%的水溶液相对密度 1.05(25℃)。熔点69~71℃。沸点 262.5℃、180℃(6.666×103Pa)、139℃(1.600× 103Pa)、110℃(0.400×103Pa)。闪点125℃。折射 率1.4768。粘度9mPa·s(78℃)。溶解度如下表。
己内酰胺的溶解度
单位:g/100g

用途: 用作制造聚己内酰胺树脂、聚己内 酰胺纤维、人造革、塑料、工程塑料、高分子溶 剂、涂料,也用作增塑剂、医药原料、合成赖氨酸 原料等。
制法: 自1900年合成出本品以来,已开发 了七八种方法,在工业上已使用过的方法,有以 下几种。
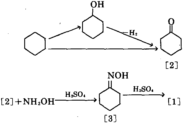
①环己烷氧化法:该法为美国专利(2249177), 1941年转让给德国法本公司,1943年工业化生 产。以苯为原料,在镍催化剂作用下加氢,生成 环己烷,然后在钴催化剂作用下,于140~ 180℃、1~2.5MPa下用空气氧化环己烷,生成 环己醇和环己酮[2]的混合物,二者之比为 60:40,将混合物中的环己醇分离出来,催化脱 氢,生成环己酮,合并二部分环己酮,在110℃时 于硫酸中与羟胺进行肟化反应,生成环己酮 肟[3],在100℃时[3]在浓硫酸中进行贝克曼分 子重排,生成粗制[1],反应产物中的硫酸用氨 中和,生成副产品硫酸铵,粗制[1]用三氯乙烯 萃取,再减压精馏、浓缩、重结晶,进行精制。本 法如果用空气氧化时,是在硼酸存在下进行,环 己醇与环己酮的比可达90: 10。

② 光亚硝化法。又称PNC法,系日本东洋 人造丝公司开发,是工业较早采用光化学反应 来生产己内酰胺的方法。以苯为原料,在镍催化 剂作用下加氢,生成环己烷,环己烷与氯化亚硝 酰在盐酸中,在高压汞灯照射下生成环己酮肟 盐酸盐,环己酮肟盐酸盐在浓硫酸存在下,进行 贝克曼重排,生成粗制[1],用氨中和,再用三氯 乙烯萃取,然后精馏、重结晶精制。此法与①法 不同之处在于制备酮肟时,不采用价格昂贵的 羟胺,而采用廉价的氯化亚硝酰,并采用光化学 反应制备酮肟,工艺简单、原料较廉。

③苯酚法。以苯酚为原料,在镍催化剂存 在下加氢,生成环己醇,提纯后,脱氢制得粗 制[2],以后步骤同①法。
④苯胺法。以苯胺为原料,在镍催化剂作 用下,加压加氢,生成环己胺,再在钴催化剂作 用下,用空气氧化,生成[3],在浓硫酸中进行贝 克曼分子重排,可制得[1]。
⑤硝基环己烷法。在制得环己烷后,在催 化剂作用下与硝酸反应生成硝基环己烷,然后 加氢,生成[3],再按①法进行。
⑥ 苯甲酸法。本法为意大利的SNIA公司 开发。以甲苯为原料,在钴催化剂作用下,于 100℃、1MPa下,在乙酸溶液中,用空气进行氧 化,生成苯甲酸,然后在钯催化作用、在180℃下 加氢,生成六氢苯甲酸,六氢苯甲酸在浓硫酸中 与亚硝酰基硫酸反应,生成粗制[1],用氨中和 后,分出粗制[1],用甲苯萃取,分出硫酸后,减 压精馏,浓缩,重结晶精制,可制得[1]。

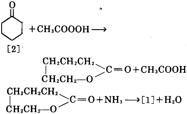
⑦ 内酯法。又称UCC法。以苯为原料,按 ①法制得环己烷,再在硼酸存在下,以钴为催化 剂,用空气进行氧化,生成环己醇,提纯后,进一 步脱氢,生成[2],[2]在55℃下与过氧乙酸中进 一步氧化内酯化,生成己内酯,经精馏分离后, 己内酯进行氨解,生成[1]。

⑧以环己酮为原料,在乙醇溶液中与过氧 化氢反应,生成1,1′-二羟基二环己基过氧化 氢,再在24~25℃下进行氨解,生成1,1′-过氧 二环己基胺,在氯化锂作用下生成[1]及环 己酮。

⑨ 以环己酮和乙烯酮为原料,在过量醋酸 酐存在、在140℃下进行反应,生成环己烯基乙 酸酯,再与硝酸在30~50℃下反应,生成2-硝 基环己酮,取出2-硝基环己酮,用水稀释,在 40~60℃通入氨,进行氨解,生成ε-硝基己酸, 在100℃及2MPa下,在镍催化剂作用下加氢, 生成氨基己酸,在300℃及10MPa下氨基己酸 环化,可生成[1]。

客服热线:
