洋茉莉醛
浏览: 1
导读:洋茉莉醛 : 3,4-MethylenedioxybenzaldehydePiperonalHeliotropin洋茉莉醛天然存在于黄樟油、刺槐和刺芹油等20种精油中。洋茉莉醛有葵花似的花香和辛香香气,外观为结晶物,熔点37℃,沸点263℃,112℃/700Pa。根据RIFM提供的资料,洋茉莉醛的急性毒性数据:口服LD502.7g/kg(大鼠)。商品规格制 造 商 最低含量/% 最低熔点/℃ 闪
洋茉莉醛 :

3,4-Methylenedioxybenzaldehyde
Piperonal
Heliotropin
洋茉莉醛天然存在于黄樟油、刺槐和刺芹油等20种精油中。
洋茉莉醛有葵花似的花香和辛香香气,外观为结晶物,熔点37℃,沸点263℃,112℃/700Pa。
根据RIFM提供的资料,洋茉莉醛的急性毒性数据:口服LD502.7g/kg(大鼠)。
商品规格
| 制 造 商 | 最低含量/% | 最低熔点/℃ | 闪点/℃ |
| BBA(1990) | 99(色谱法) | 35 | 121 |
| TAK(1987) | 99(色谱法) | 35.5~37 | 131 |
| Rus(1990) | 100(肟化法) | 36.5 | 130 |
洋茉莉醛的制造有半合成法和全合成法。半合成法系以天然黄樟油中的黄樟油素为原料,在碱性条件下异构化成为异黄樟油素,再用臭氧氧化成为洋茉莉醛。我国和日本均采用此法生产。

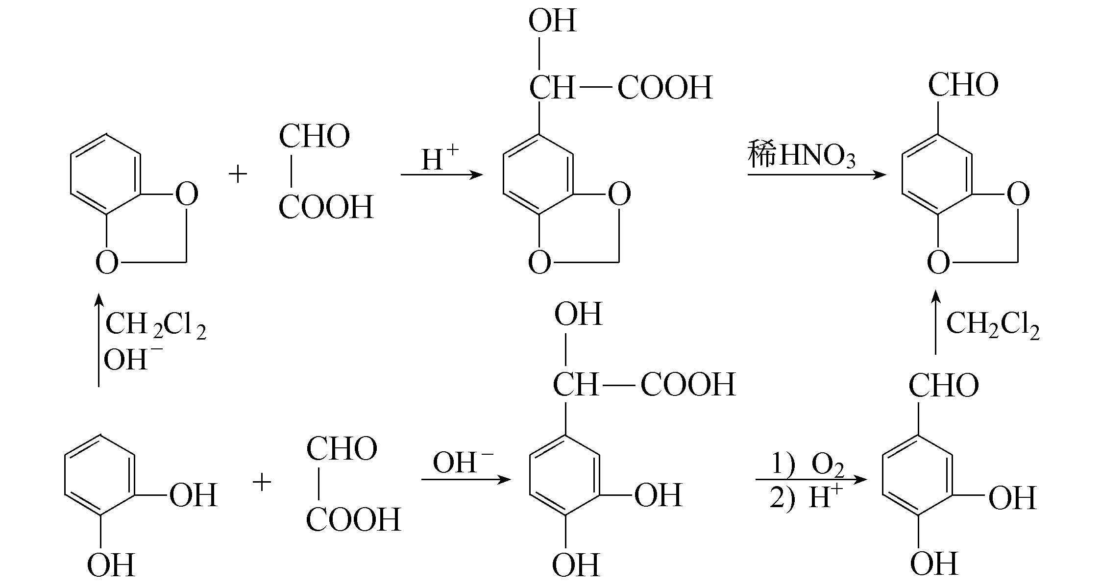
全合成法系以邻苯二酚和乙醛酸为原料,有两条途径合成洋茉莉醛。
途径之一是,邻苯二酚先和乙醛酸在碱性下缩合成为邻苯二酚羟乙酸,继之再经氧化和脱羧制成洋茉莉醛。
途径之二是,用邻苯二酚和二氯甲烷在碱性条件下反应生成1,2-亚甲基二氧苯,后者再和乙醛酸在硫酸的存在下加成缩合成为3,4-亚甲基二氧苯基羟乙酸,再用稀硝酸氧化脱羧便得到洋茉莉醛。本方法的三步反应收率均极高,被认为是全合成中的最佳方法。(Fragrance and Flavor Substances;1980,75~81)。

洋茉莉醛可广泛用于香水、香皂、化妆品等日化产品的香精配方中,在食用香精中也有一定用途。IFRA没有限制规定。
客服热线:
