新洋茉莉醛
浏览: 8
导读:新洋茉莉醛 : α-Methyl-3,4-methylenedioxy-hydrocinnamic aldehydeHelionalAquanalHeliofolalHeliobouquet新洋茉莉醛有温柔的兔耳草似的花香香气,以及新鲜的草香气息。外观为液体,沸点125℃/700Pa,97~99℃/80Pa。根据美国IFF公司提供的资料,新洋茉莉醛的急性毒性数据:口服LD503.6g/kg(大鼠)。商品规格制 造 商 最低含量(
新洋茉莉醛 :

α-Methyl-3,4-methylenedioxy-hydrocinnamic aldehyde
Helional
Aquanal
Heliofolal
Heliobouquet
新洋茉莉醛有温柔的兔耳草似的花香香气,以及新鲜的草香气息。外观为液体,沸点125℃/700Pa,97~99℃/80Pa。
根据美国IFF公司提供的资料,新洋茉莉醛的急性毒性数据:口服LD503.6g/kg(大鼠)。
商品规格
| 制 造 商 | 最低含量
(色谱法)/% | dt2t1 | t2/t1 | n20D | 闪点/℃ |
| IFF(1992) | 96 | 1.159~1.167 | 20/4 | 1.531~1.536 | >100 |
| Quest(1989) | 98 | 1.165~1.168 | 20/4 | 1.533~1.536 | 111 |
| H&R(1988) | 98 | 1.160~1.164 | 25/25 | 1.532~1.535 | 126 |
| TAK(1987) | 97 | 1.160~1.168 | 20/20 | 1.530~1.535 | 104 |
新洋茉莉醛有两种合成方法。方法之一是将洋茉莉醛同丙醛在碱性条件下缩合成不饱和醛,继之再进行选择性催化氢化得到新洋茉莉醛。

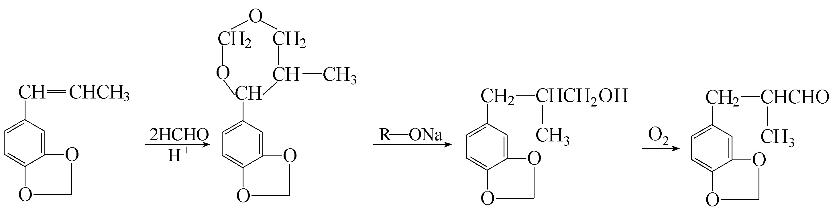
方法之二是由异黄樟油素与甲醛在酸性催化条件下进行Prins缩合反应,再用醇钠将缩合产物还原成新洋茉莉醇,后者氧化后便成为新洋茉莉醛。

新洋茉莉醛可用于日化香精配方中,用量可在20%以内。IFRA没有限制规定。
客服热线:
