二氯菊酸
浏览: 10
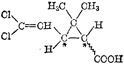
导读:二氯菊酸 : 简称“DV酸”。学名“2,2-二甲基-3-(2,2-二氯乙烯基)-环丙烷羧酸”。分子式C8H10O2Cl2。分子量209.07。分子结构中有两个手征性碳原子,故有两种外消旋体(反式、顺式)和四种光学异构体(d-反式、l-反式、d-顺式和l-顺式)。 各种二氯菊酸的物性如下:二氯菊酸熔点℃比 旋 光 度dl-反式dl-顺式84~87℃94~97℃ d-反
二氯菊酸 :

简 称“DV酸”。学名“2,2-二甲基-3-(2,2- 二氯乙烯基)-环丙烷羧酸”。分子式C8 H10O2Cl2。分子量209.07。分子结构中有 两个手征性碳原子,故有两种外消旋体(反 式、顺式)和四种光学异构体(d-反式、l-反 式、d-顺式和l-顺式)。 各种二氯菊酸的 物性如下:
| 二氯菊酸 | 熔点℃ | 比 旋 光 度 |
| dl-反式 dl-顺式 | 84~87℃ 94~97℃ | |
| d-反式 | 69~73℃ | +33.0° (C=2.0,乙醇) |
| l-反式 | 68~73℃ | -34.6° (C=1.9,乙醇) |
| d-顺式 | 90℃ | +27.2° (C=2.1,CHCl3) |
| l-顺式 | 90℃ | -26.9° (C=1.7,CHCl3) |




客服热线:
