开乐散
浏览: 7
导读:开乐散 : 又称1,1-双(对氯苯基)-2,2,2-三氯乙醇、4,4′-二氯-α(三氯甲基)二苯基甲醇、三氯杀螨醇、DTMC、ENT23648、FW293、Acarin、Mitigan。从石油醚中析出,纯品为无色或白色固体。相对分子质量370.48。熔点78.5℃。沸点180℃(0.0133×103Pa)。几乎不溶于水,溶于大多数链烃及芳烃溶剂。对酸稳定,在碱溶液中水解,生成氯仿
开乐散 :

又称1,1-双(对氯 苯基)-2,2,2- 三氯乙醇、4,4′ -二氯-α(三氯 甲基)二苯基甲 醇、三氯杀螨 醇、DTMC、 ENT23648、 FW293、Acarin、Mitigan。从石油醚中析出, 纯品为无色或白色固体。相对分子质量370.48。 熔点78.5℃。沸点180℃(0.0133×103Pa)。几乎 不溶于水,溶于大多数链烃及芳烃溶剂。对酸稳 定,在碱溶液中水解,生成氯仿、二氯甲烷及苯 酮。工业品为黄色粘稠状液体。本品为DDT的 同系物,性质与DDT相近。有毒。大鼠经口 LD50809mg/kg。
用途: 触杀性杀螨剂,用于防治棉花、果 树、玉米、小麦的红蜘蛛、蚜虫、螨虫,但不能除 去螨卵;对茄子和红玉苹果有毒害作用。
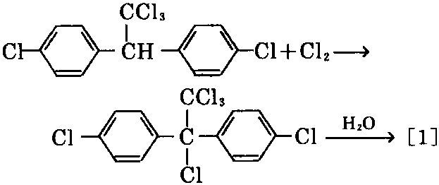
制法:①以DDT为原料,在偶氮二异丁腈 的作用下氯化,氯化反应在100℃左右进行,进 一步水解,可制得[1]。

②以对氯苯甲醛为原料,缩合,氯化,可制 得[1]。

客服热线:
