天芥菜精
浏览: 0
导读:天芥菜精 : 又称3,4-亚甲基二氧基苯甲醛、1,3-苯并二氧杂环戊基-5-甲醛、胡椒醛、洋茉莉醛、原儿茶醛亚甲醚。天然存在于洋茉莉花、刺槐花、樟脑木、紫罗兰花的精油中。白色或无色有光泽的结晶。有天芥菜的香气。有甜味。相对分子质量150.13。熔点37℃。沸点263℃、140℃(2.000×103Pa)、88℃(0.0667×103Pa)。闪点131℃。不
天芥菜精 :

又称3,4-亚 甲基二氧基苯甲醛、1,3-苯并二 氧杂环戊基-5-甲醛、胡椒醛、 洋茉莉醛、原儿茶醛亚甲醚。天然 存在于洋茉莉花、刺槐花、樟脑 木、紫罗兰花的精油中。白色或无 色有光泽的结晶。有天芥菜的香 气。有甜味。相对分子质量 150.13。熔点37℃。沸点263℃、 140℃(2.000×103Pa)、88℃(0.0667×103Pa)。闪 点131℃。不溶于冷水及甘油,微溶于丙二醇,溶 于乙醇、乙醚、苯甲酸苄酯和热水。长时间曝露 在光照下颜色变黄。又因熔点低,应避光避热保 存。大鼠经口LD502700mg/kg.
用途: 重要的香料。调制丁香、金合欢、香 豌豆、康乃馨等香型的香精,用于化妆品;调制 香草、樱桃、桃、梅、草莓、可可等香型的香精用 于食品,也用于烟草和酒,是我国GB2760— 1996规定暂时允许使用的食用香料;但近年有 致突变试验阳性的报告。本品在调香中不仅可 用作矫香剂,同时也有定香作用。能与大茴香 醛、香兰素、香豆素、麝香、柠檬油等很好地调 合。此外,还可用于医药(黄连素中间体);电镀;室 内清香剂。农药增效剂等方面。
制法: ①以黄樟素为原料,在乙醇的氢氧 化钾溶液中加热回流,异构化,使烯丙基变成丙 烯基,生成异黄樟素,冷却后,取出异黄樟素,用 冷水洗涤,蒸馏精制后,以重铬酸钾或臭氧进行 氧化,可得粗制[1],然后蒸馏精制或重结晶,可 制得[1]的精细品。如果用重铬酸钾氧化时,在 重铬酸钾溶液中,加入少量硫酸及氨基苯磺酸, 在15℃下氧化,取出有机相,用水洗涤,用碱中 和,减压精馏精制,可得精制[1]。如果用臭氧氧 化时,氧化反应在四氯化碳溶液中进行,生成异 黄樟素的臭氧化物,再用亚硫酸氢钠将其分解, 可生成[1]。臭氧氧化较重铬酸盐氧化的收率 高、质量好;但工序较复杂。

在异构化过程中,生成顺、反两种异构体的 异黄樟素,在氧化过程中。顺、反两种异构体均 生成[1]。用重铬酸钾氧化时,亦可在醋酸溶液 中进行。
②以儿茶酚(邻苯二酚)为原料,在碱性溶 液中与二氯甲烷反应,氯甲基化,生成邻苯二酚 亚甲醚,再在盐酸溶中在催化剂氯化锌的作用 下,与甲醛作用,引入氯甲基,生成3-氯甲基邻 苯二酚亚甲醚。也可使邻苯二酚亚甲醚与三聚 甲醛反应,引入氯甲基。然后将氯甲基化后的化 合物在乙酸溶液中与乌洛托品作用,然后水解, 可制得[1]。

③ 以3,4-亚甲二氧基苄醇为原料,在硝 酸铁盐存在下,进行氧化反应,可制得[1]。

④以邻苯二酚亚甲醚为原料,与甲醛基羧 酸反应,生成1-羟基乙酸-3,4-苯二酚亚甲 醚,在氧化铜作用下,进行氧化,最后加氢,可制 得[1]。

⑤以胡椒酸为原料,氧化,可制得[1]。

⑥以胡椒辣素为原料,在碱性水溶液中加 热水解,生成胡椒酸,再用高锰酸钾氧化,可制 得[1]。

⑦以邻苯二酚为原料,按②法制成邻苯二 酚亚甲醚后,再与N-甲基-N-甲酰基苯胺 在亚硫酰氯作用下缩合,可制得[1]。

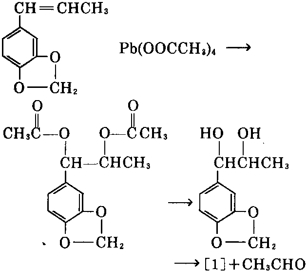
⑧在用①法制得异黄樟素后,除①的两种 氧化方法外,也可采用下面的方法,用四乙酸铅 氧化,生成相应的酯,水解后,生成二元醇,进一 步用四乙酸铅氧化,可制得[1]。

客服热线:
