天然杀虫剂
浏览: 0
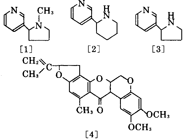
导读:天然杀虫剂 : 系指直接从天然物质中提取的杀虫剂。早在1828年已从烟叶蒸馏中得到烟碱(尼古丁)[1]。其他如除虫菊素 (Pynothrin)、灭虫碱 (Ansoasine-)[2]、降烟碱(Nornictine)[3]、鱼藤酮(Rotenone)[4]等也具有很强的灭虫活性。但从它们的天然产量来看,只有烟碱具有实用价值。烟碱主要以其硫酸盐水溶液形式使用,也可以气态形
天然杀虫剂 :

系指 直接从天然物质中提取的杀虫剂。早在1828年 已从烟叶蒸馏中得到烟碱(尼古丁)[1]。其他如 除虫菊素 (Pynothrin)、灭虫碱 (Ansoasine- )[2]、降烟碱(Nornictine)[3]、鱼藤酮(Rotenone)[4]等也具有很强的灭虫活性。但从它们的 天然产量来看,只有烟碱具有实用价值。烟碱主 要以其硫酸盐水溶液形式使用,也可以气态形 式使用,在昆虫体内不分解,长期保持兴奋,使 昆虫致死。采用合成法制造的烟碱用作杀虫剂, 已得到普遍采用。在南亚、中南美洲发现鱼藤酮 亦可用作杀虫剂,这种毒剂经呼吸系统使昆虫 致死,与除虫菊相比,具有迟效性、杀虫作用较 弱,效果较差。1932年发现了[4]的化学结 构,1958年合成了[4],其后又合成了它的衍生 物,但作为杀虫剂来说,远未达到理想的效果。
客服热线:
