二安替比林甲烷
浏览: 5
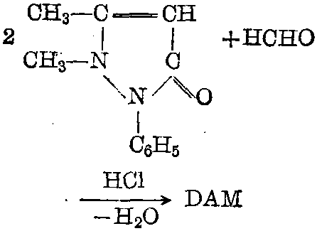
导读:二安替比林甲烷 : 简称“DAM”。分子式C23H24O2N4。分子量388.47。白色结晶。熔点182~184℃。微溶于水,易溶于稀酸以及氯仿、乙醇等有机溶剂。可由安替比林和甲醛在盐酸存在下缩合而成:本试剂在酸性介质中形成复合有机阳离子:在中性或接近中性溶液中,上述平衡向左移动。该复合离子能和金属的卤络阴离子或金属的硫氰酸盐络阴
二安替比林甲烷 :

简称“DAM”。分子式C23H24O2N4。 分子量388.47。白色结晶。熔点182~ 184℃。微溶于水,易溶于稀酸以及氯仿、 乙醇等有机溶剂。可由安替比林和甲醛在 盐酸存在下缩合而成:

![]()
客服热线:
