二乙基氯化铝
浏览: 0
导读:二乙基氯化铝 : (C2H5)2AlCl是可与空气及水激烈反应的无色液体,必须在氮气流下十分小心地操作。关于使用注射器操作在空气中进行反应的化合物的方法以及在氮气下进行反应的操作方法,使用的反应溶剂与三烷基铝所用的相同,均为己烷、甲苯等。在有机合成方面的用途,首先是用于炔基铝烷的合成。将端基乙炔以丁基锂处理后,再加 (C
二乙基氯化铝 : (C2H5)2AlCl是可与空气及水激
烈反应的无色液体,必须在氮气流下十分小
心地操作。关于使用注射器操作在空气中进
行反应的化合物的方法以及在氮气下进行反
应的操作方法,使用的反应溶剂与三烷基铝
所用的相同,均为己烷、甲苯等。
在有机合成方面的用途,首先是用于炔
基铝烷的合成。将端基乙炔以丁基锂处理后,
再加 (C2H5)2AlCl即可。

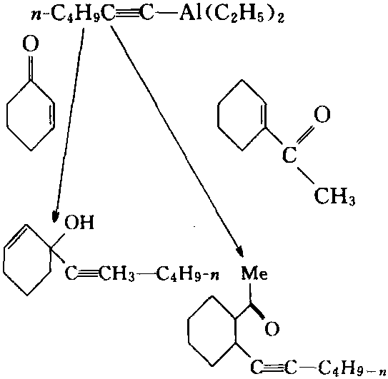
炔基铝烷对顺式(顺向)的α,β-不饱和 酮进行共轭加成反应,但对反式(反向)则 向羰基进行1,2-加成反应。

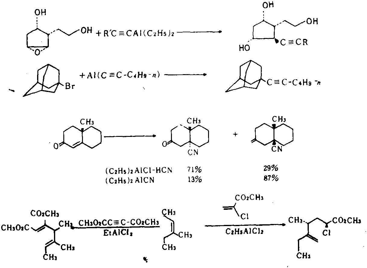
此外,在与环氧化物的反应中具有高度 的位置选择性,可用于前列腺素衍生物的合 成。锂或镁的乙炔化物与叔烷基卤不能偶合, 如使用三炔基铝则可顺利偶合。
氢氰化作用是以三乙基铝和氰化氢配合 起来进行的,也可用 (C2H5)2AlCl和氰化氢 配合起来进行反应。两法均为不可逆反应而 受动力学支配。此外,与二乙基氰化铝亦可 进行氢氰化作用,系可逆反应,得到热力学 方面稳定的化合物。
将α-溴酮与(C2H5)2AlCl及用溴化铜活 化了的锌进行反应,生成乙醇铝,当有其他 羰基化合物存在时,则发生醛醇缩合。此法 可应用于大环内酯的合成。此外,由 (C2H5) AlCl和锂-2,2,6,6-四甲基哌啶制 成的二乙基铝-2,2,6,6-四甲基哌啶(简称 为DATMP),能使环氧化物位置选择性异构 化,变成烯丙醇。
利用(C2H5)2AlCl或乙基二氧化铝等的 强路易斯酸性进行烯烃反应,能进行选择性 和立体选择性合成。
虽然在三氯化铝等路易斯酸中也能使烯 烃反应加速,但使用烷基铝衍生物还能控制 副反应。应用此反应,可立体选择性合成甾类化合物的侧链。


客服热线:
