茄酮
浏览: 1
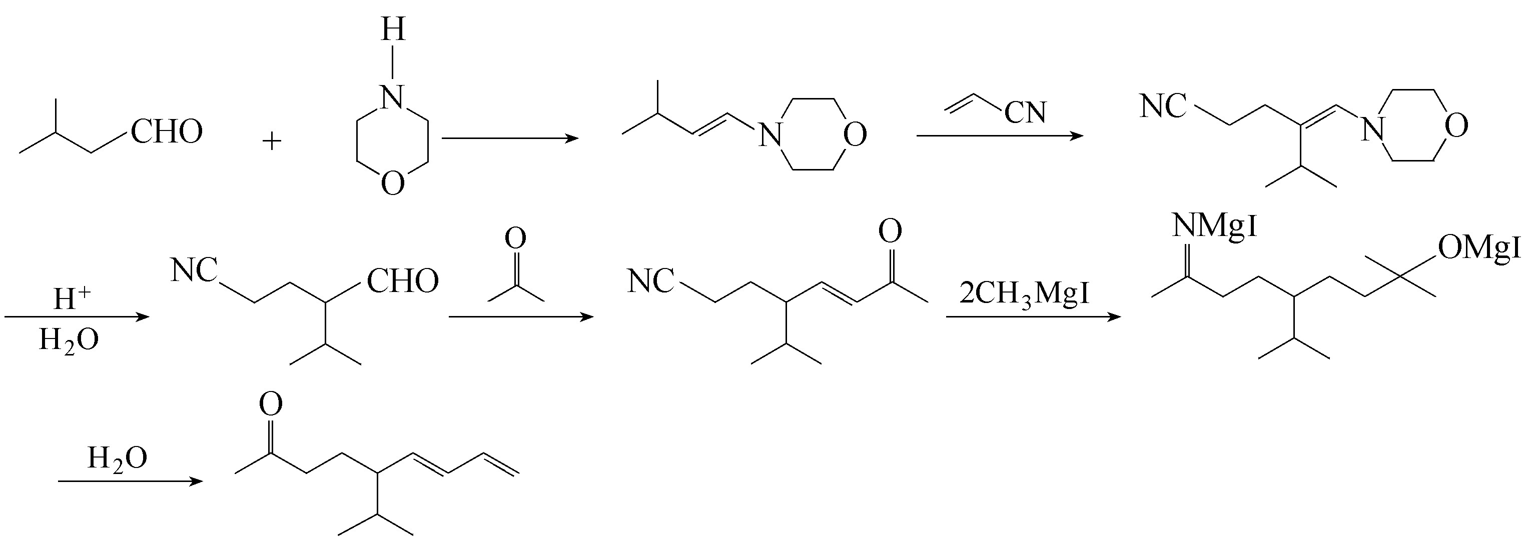
导读:茄酮 : 8-Methyl-5-(1-methylethyl)-6,8-nonadien-2-oneSolanone茄酮是烟草中关键香气成分之一,它是烟草中西柏三烯类物质在加工过程中发生降解的产物,它对卷烟的香味、香气品质起着重要的作用。茄酮外观为无色透明液体,沸点60℃/133Pa,n20D1.4755。具有草香、果香、青香香气。茄酮的合成路线很多,但大多数都是以异戊醛为起
茄酮 :

8-Methyl-5-(1-methylethyl)-6,8-nonadien-2-one
Solanone
茄酮是烟草中关键香气成分之一,它是烟草中西柏三烯类物质在加工过程中发生降解的产物,它对卷烟的香味、香气品质起着重要的作用。
茄酮外观为无色透明液体,沸点60℃/133Pa,n20D1.4755。具有草香、果香、青香香气。
茄酮的合成路线很多,但大多数都是以异戊醛为起始原料进行合成的。我国李德俊等人用异戊醛和吗啉为原料,经多步反应制得茄酮。

将茄酮用于烟草中,能使烟气更加醇和,更加丰满、柔和,突出细腻感和甜润感,同时可以掩盖杂气,明显改善和提高卷烟品质。
客服热线:
