戊基环戊酮基丙酮
浏览: 1
导读:戊基环戊酮基丙酮 : 3-(2-Oxopropyl)-2-pentylcyclopentanone3-Acetonyl-2-pentylcyclopentanonePentylcyclopentanonepropanoneMagnolione戊基环戊酮基丙酮有令人愉悦的花香香气和木兰香气。外观为液体。根据RIFM提供的资料,戊基环戊酮基丙酮的急性毒性数据:口服LD505g/kg(大鼠),皮试LD505g/kg(兔子)。法国Roure公司生产戊
戊基环戊酮基丙酮 :

3-(2-Oxopropyl)-2-pentylcyclopentanone
3-Acetonyl-2-pentylcyclopentanone
Pentylcyclopentanonepropanone
Magnolione
戊基环戊酮基丙酮有令人愉悦的花香香气和木兰香气。外观为液体。
根据RIFM提供的资料,戊基环戊酮基丙酮的急性毒性数据:口服LD50>5g/kg(大鼠),皮试LD50>5g/kg(兔子)。
法国Roure公司生产戊基环戊酮基丙酮,其产品规格为:d2020~0.961,n20D~1.463,闪点153℃。
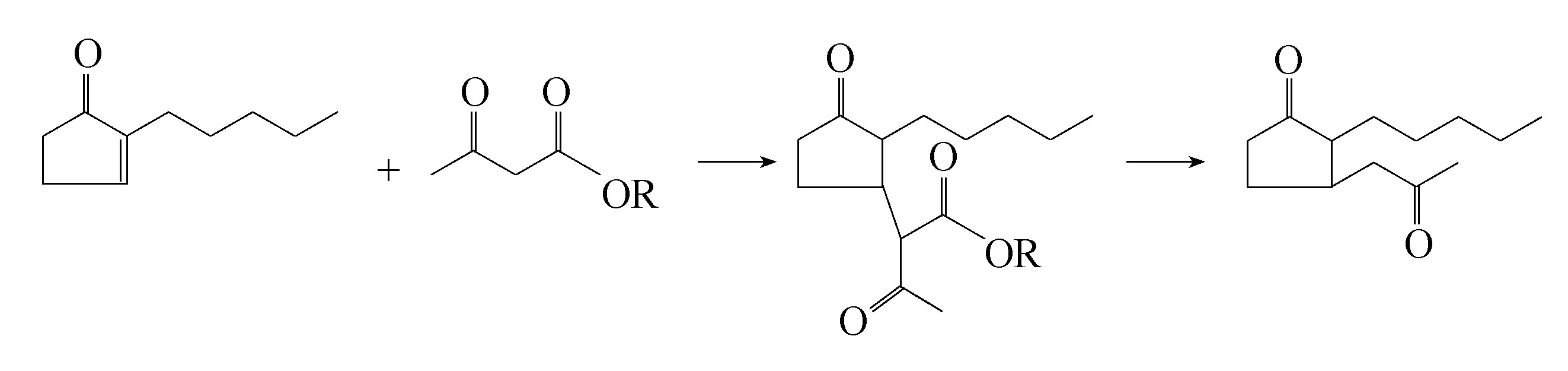
戊基环戊酮基丙酮系由2-戊基-2-环戊烯酮与乙酰乙酸酯缩合,继之将缩合产物水解和脱羧制得(法国专利2151523)。

戊基环戊酮基丙酮可用于日化香精配方中。IFRA没有限制规定。
客服热线:
