中性橙RL
浏览: 1
导读:中性橙RL : 又称C.I.酸性橙86。属单偶氮铬络合染料。红橙色粉末。相对分子质量834.62。溶于水呈橙色;在硫酸中呈黄色,稀释后部分溶液呈黄色;在浓硝酸中呈金黄色,稀释后呈橙红色。用途: 用于羊毛、蚕丝、锦纶、维纶和维纶/棉混纺的染色和印花;也用于皮革染色;还可与碱性玫瑰精配合用作红色圆珠笔油。制法: 由2-氨基苯酚-4-磺
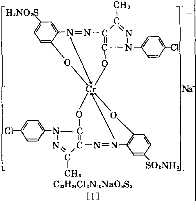
中性橙RL :

又称 C.I.酸性橙86。属单偶氮铬络合染料。红橙色粉 末。相对分子质量834.62。溶于水呈橙色;在硫酸 中呈黄色,稀释后部分溶液呈黄色;在浓硝酸中 呈金黄色,稀释后呈橙红色。
用途: 用于羊毛、蚕丝、锦纶、维纶和维 纶/棉混纺的染色和印花;也用于皮革染色;还可 与碱性玫瑰精配合用作红色圆珠笔油。
制法: 由2-氨基苯酚-4-磺酰胺在硫酸 溶液中与亚硝酸钠反应,重氮化后,再与1-(对 氯苯基)-3-甲基-5-吡唑酮偶合,再用水杨 酸铬钠处理,即可制得[1]。
客服热线:
