内铵盐型两性表面活性剂
浏览: 0
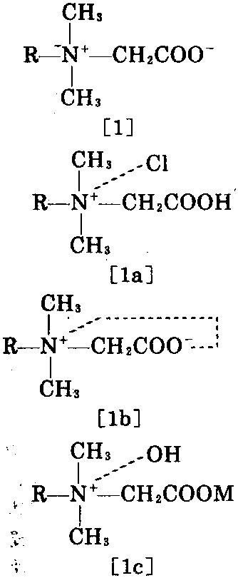
导读:内铵盐型两性表面活性剂 : 其基本结构式如[1]。1930~1940年研究颇为盛行。其后不同类型的这类产品相继得到开发。它可由烷基二甲胺和一氯醋酸反应而成。其水溶液呈酸性[1a](阳离子性)或碱性[1c](阴离子性)。当处于等电域时,为两性离子混合性。R为烷基,R的碳原子数最好为12~18,当碳原子数为12的月桂酰基二甲基时的内铵盐时,
内铵盐型两性表面活性剂 :


其基本结构式 如[1]。1930~ 1940年研究颇为 盛行。其后不同类 型的这类产品相 继得到开发。它可 由烷基二甲胺和 一氯醋酸反应而 成。其水溶液呈酸 性[1a](阳离子 性)或碱性[1c] (阴离子性)。当处 于等电域时,为两 性离子混合性。R 为烷基,R的碳原 子数最好为12~ 18,当碳原子数为 12的月桂酰基二 甲基时的内铵盐 时,水溶性好,富 有起泡力,对眼、 皮肤刺激性小,可 作为洗发粉起泡 剂组分及染色助 剂等。当R的碳数 为18时的硬脂酰 基二甲基内铵盐 能使纤维具有柔 软性及平滑性,且 抗静电性优良。
[2]为烷基咪 唑啉鎓内铵盐,其 分子中有季铵盐 和羧基,具有优良 的发泡力及适度 的洗净力,对皮肤 及眼睛刺激性小, 广泛用作洗发粉 的基料。[2]在内 铵盐化过程中由 于咪唑啉环开裂, 实际上生成各种 复杂化合物的混 合物,用作洗发粉、化妆品、纤维抗静电剂和柔 软剂。
[3]为二羟乙基烷基内铵盐,可用作染色助 剂和抗静电剂。
[4]为含有磷酸基,并含有三醇的二酯,这 种内铵盐可用作食品添加剂及医药乳化剂。
[5]中含有磺酸基,亦可用作食品添加剂及 医药乳化剂。
一般说,两性表面活性剂的水溶液pH值近 于等电点,溶解度、界面活性低,但内铵盐型则 很少有这种倾向,这是此类表面活性剂不同于 其他两性表面活性剂之处,其渗透力、洗净力及 抗静电效果均好。为了克服其界面活性低的缺 点,往往与脂肪醇硫酸盐配合使用。[2]的刺激 性小,用于婴幼儿的洗涤用品更为合适。
客服热线:
