卡莉莎酮
浏览: 1
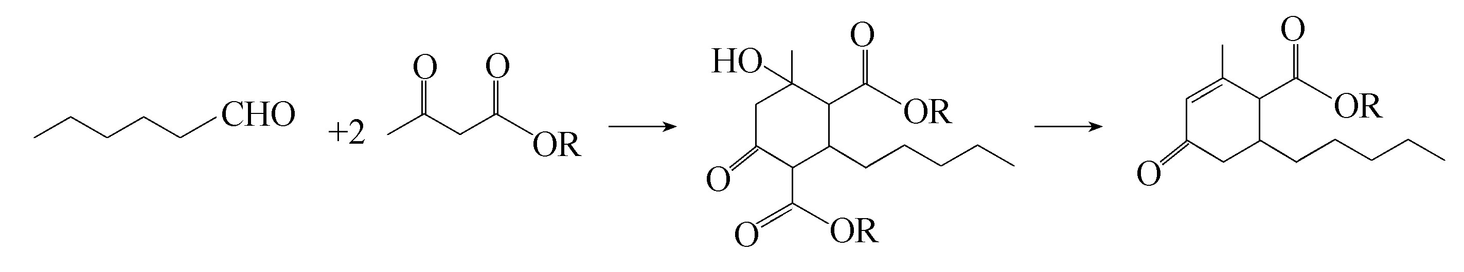
导读:卡莉莎酮 : 4-Carbethoxy-3-methyl-5-pentyl-2-cyclohexenoneCalyxol卡莉莎酮有细腻的茉莉花香,并有金银花和桃子似的香韵。外观为液体,为异构体之混合物。英荷Quest公司生产卡莉莎酮,其产品规格为:含量不少于90%(色谱法,系指异构体总量),d2020~0.993,n20D~1.478,闪点100℃。卡莉莎酮可由己醛和乙酰乙酸酯在叔胺的存在下进
卡莉莎酮 :

4-Carbethoxy-3-methyl-5-pentyl-2-cyclohexenone
Calyxol
卡莉莎酮有细腻的茉莉花香,并有金银花和桃子似的香韵。外观为液体,为异构体之混合物。
英荷Quest公司生产卡莉莎酮,其产品规格为:含量不少于90%(色谱法,系指异构体总量),d2020~0.993,n20D~1.478,闪点>100℃。
卡莉莎酮可由己醛和乙酰乙酸酯在叔胺的存在下进行缩合,继之再脱水和脱羧制得(德国专利2654840)。

卡莉莎酮可用于日化香精配方中。IFRA没有限制规定。
客服热线:
