分散玉红SE-GFL
浏览: 0
导读:分散玉红SE-GFL : 又称C.I.分散红73。橙色粉末。相对分子质量324.36。不溶于水。溶于乙醇、丙酮和苯。用途: 用于醋酸纤维、涤纶、涤纶混纺、锦纶和腈纶的染色;也可以用于热熔法染色。制法: 以邻氯苯甲酸为原料,用混酸进行硝化,再用氰化钠氰化,在碱性溶液中氨解,再在盐酸溶液中与亚硝酸钠进行反应,重氮化,再与N-乙基-N-乙腈
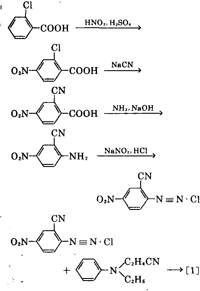
分散玉红SE-GFL :

又称C.I.分散红73。橙色粉末。相对分子 质量324.36。不溶于水。溶于乙醇、丙酮和苯。
用途: 用于醋酸纤维、涤纶、涤纶混纺、锦 纶和腈纶的染色;也可以用于热熔法染色。
制法: 以邻氯苯甲酸为原料,用混酸进行 硝化,再用氰化钠氰化,在碱性溶液中氨解,再 在盐酸溶液中与亚硝酸钠进行反应,重氮化,再 与N-乙基-N-乙腈苯胺进行偶合,可制 得[1]。

客服热线:
