C.I.分散红92
浏览: 1
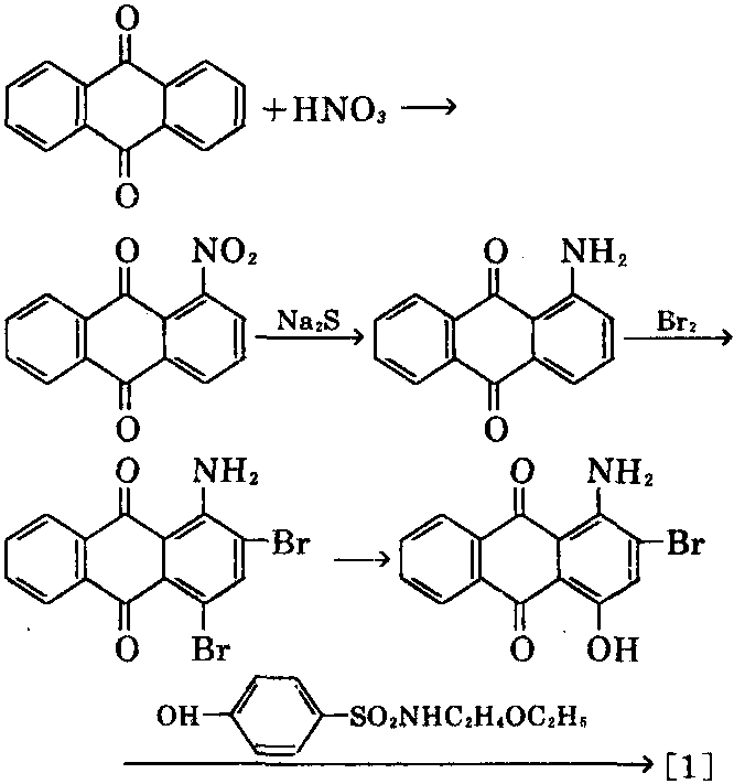
导读:C.I.分散红92 : 红色粉末。相对分子质量482.50。不溶于水,但可利用分散剂均匀分散于水中,溶于乙醇、丙酮和苯,溶于浓硫酸成橙红色。用途: 主要用于涤纶、涤纶混纺、醋酸纤维和锦纶的染色。因色泽不够鲜艳,单独使用者甚少,多用作与其他染料的拼色。坚牢度优良。制法: 以蒽醌为原料,在混酸中进行硝化,再用硫化钠还原,生成1-氨
C.I.分散红92 :

红 色粉末。相对分子质量482.50。不溶于水,但可 利用分散剂均匀分散于水中,溶于乙醇、丙酮和 苯,溶于浓硫酸成橙红色。
用途: 主要用于涤纶、涤纶混纺、醋酸纤维 和锦纶的染色。因色泽不够鲜艳,单独使用者甚 少,多用作与其他染料的拼色。坚牢度优良。
制法: 以蒽醌为原料,在混酸中进行硝化, 再用硫化钠还原,生成1-氨基蒽醌,与溴反应, 生成1-氨基-2,4-二溴蒽醌,再在稀硫酸及 硼酸的溶液中水解,生成1-氨基-2-溴-4- 羟基蒽醌,最后在碱性溶液中与4-羟基乙氧乙 基苯磺酰胺缩合,可制得[1]。

客服热线:
