分散黄棕2RFL
浏览: 3
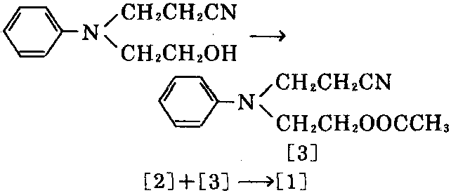
导读:分散黄棕2RFL : 又称C.I.分散橙30。棕红色粉末。用作分散染料,可与其他分散染料拼色,如分散藏青S-2GL等。用途: 用于涤纶及其混纺的印染。其染后耐晒、耐汗、耐磨度中等。染色时遇铜、铁离子易变色。制法: 以2,6-二氯-4-硝基苯胺为原料,在盐酸介质中与亚硝酸钠进行重氮化反应,生成重氮盐[2];再以苯胺为原料,与乙烯基氰反应,
分散黄棕2RFL :

又称C.I.分散橙30。棕红色粉 末。用作分散染料,可与其他分散染料拼色,如 分散藏青S-2GL等。
用途: 用于涤纶及其混纺的印染。其染后 耐晒、耐汗、耐磨度中等。染色时遇铜、铁离子易 变色。
制法: 以2,6-二氯-4-硝基苯胺为原 料,在盐酸介质中与亚硝酸钠进行重氮化反应, 生成重氮盐[2];再以苯胺为原料,与乙烯基氰 反应,生成N-丙腈苯胺,进一步与环氧乙烷进 行羟乙基化反应,生成N-氰乙基-N-羟乙 基苯胺,再与乙酐进行酯化反应,生成N-氰乙 基-N-乙酰氧基乙基苯胺[3]、[2]与[3]进行 偶合,可制得[1]。


客服热线:
