分散蓝SE-2R
浏览: 1
导读:分散蓝SE-2R : 又称C.I.分散蓝183。深蓝色粉末。相对分子质量459.20。不溶于水,溶于丙酮和二甲基甲酰胺。用途: 用于涤纶、涤/棉、涤/粘、三乙酸纤维等的染色和印花。也可与其他分散染料进行拼色,调制其他色泽。制法:①以对硝基苯胺为原料,经溴卤化后,在盐酸溶液中与亚硝酸钠进行重氮化反应,再与间乙酰胺基-N,N-二乙基苯胺偶
分散蓝SE-2R :

又称C.I.分散蓝183。深蓝色粉末。相 对分子质量459.20。不溶于水,溶于丙酮和二甲 基甲酰胺。
用途: 用于涤纶、涤/棉、涤/粘、三乙酸纤 维等的染色和印花。也可与其他分散染料进行 拼色,调制其他色泽。
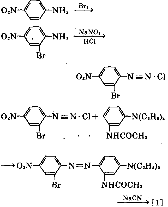
制法:①以对硝基苯胺为原料,经溴卤化 后,在盐酸溶液中与亚硝酸钠进行重氮化反应, 再与间乙酰胺基-N,N-二乙基苯胺偶合,最 后与氰化钠反应,可析出[1]的结晶,过滤,干 燥,粉碎,可获[1]的成品。

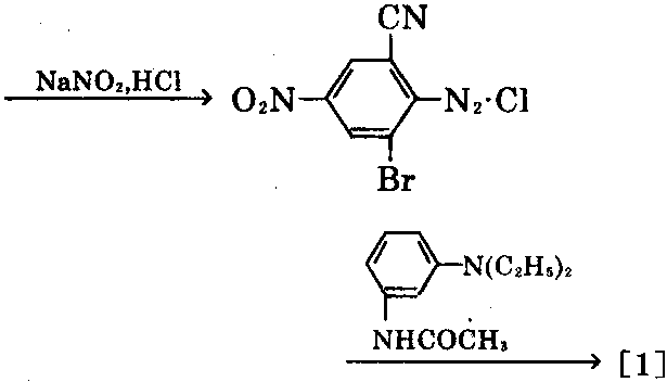
②以2-氰基-4-硝基苯胺为原料,与溴 反应后,再与亚硝酸钠在盐酸中重氮化,最后与 间乙酰胺基-N,N-二乙基苯胺偶合,可析出 结晶,经过滤、干燥、粉碎后,可制得[1]。


客服热线:
