分散翠蓝S-GL
浏览: 0
导读:分散翠蓝S-GL : 又称C.I.分散蓝60。蓝黑色粉末。相对分子质量379.38。不溶于水,微溶于乙醇,溶于二甲基甲酰胺、吡啶和丙酮。用途: 用于涤纶及其混纺和醋酸纤维的染色及印花。本品耐晒牢度较高。制法:①以1,4-二氨基蒽醌为原料,以磺酰氯为氯化剂,在30~40℃下进行反应,生成2,3-二氯-1,4-二氨基蒽醌,再在硼酸及亚硫酸钠存在下,
分散翠蓝S-GL : 又称C.I.分散蓝60。蓝黑色粉末。相对 分子质量379.38。不溶于水,微溶于乙醇,溶于 二甲基甲酰胺、吡啶和丙酮。

用途: 用于涤纶及其混纺和醋酸纤维的染 色及印花。本品耐晒牢度较高。
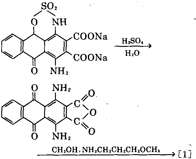
制法:①以1,4-二氨基蒽醌为原料,以磺 酰氯为氯化剂,在30~40℃下进行反应,生成2, 3-二氯-1,4-二氨基蒽醌,再在硼酸及亚硫 酸钠存在下,与浓硫酸反应,进行磺化,中和后, 与氰化钠在90℃下反应,生成1,4-二氨基-2, 3-二氰基蒽醌,然后在发烟硫酸作用下,闭环, 在碱性水溶液中于90~100℃下水解,用硫酸酸 化,再加入甲醇及甲氧基丙胺缩合可制得[1]。


如果在最后缩合时,加入的是甲醇及甲胺, 则生成的是分散翠蓝HBF(C.I.分散蓝87)[2]。

②按照①法制得1,4-二氨基-3,4-二 氰基蒽醌后,于150℃下,在浓硫酸作用下闭环, 再与甲氧基丙胺在170℃下缩合,可制得[1]。与 甲胺缩合,可制得[2]。
客服热线:
