分散紫4BN
浏览: 2
导读:分散紫4BN : 又称C.I.分散紫8、C.I.62030、1,4-二氨基-5-硝基蒽醌。暗蓝紫色粉末。相对分子质量283.26。不溶于水,在分散剂作用下,可均匀分散于水中,溶于乙醇、丙酮和苯。在浓硫酸中呈棕色,稀释后呈带蓝光的紫色。呈蓝紫色时,遇铜、铁离子颜色变浅。用途: 用于涤纶、涤纶混纺、醋酸纤维、三醋酸纤维、腈纶和锦纶的染色和印花
分散紫4BN :

又 称C.I.分散紫8、C.I. 62030、1,4-二氨基-5- 硝基蒽醌。暗蓝紫色粉末。 相对分子质量283.26。 不溶于水,在分散剂作用 下,可均匀分散于水中, 溶于乙醇、丙酮和苯。在 浓硫酸中呈棕色,稀释后 呈带蓝光的紫色。呈蓝紫色时,遇铜、铁离子颜 色变浅。
用途: 用于涤纶、涤纶混纺、醋酸纤维、三 醋酸纤维、腈纶和锦纶的染色和印花;塑料的着 色;溶剂型染料。
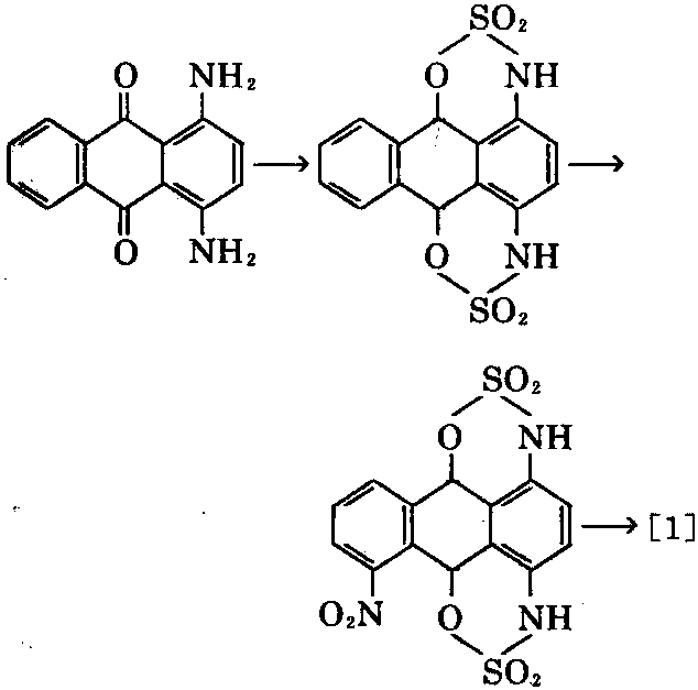
制法: 以1,4-二氨基蒽醌为原料,用发烟 硫酸磺化,再用混酸硝化,最后在稀硫酸溶液中 水解,可制得[1],经过滤、干燥、粉碎,即成 制品。

客服热线:
