反应性单体
浏览: 4
导读:反应性单体 : 从有机化学角度看,能进行加成聚合的单体,称为反应性单体。按结构可分为两种。其一是具有反应性基团双键的单体;其二是开环,进行聚合的环状单体等,均属于反应性单体。它在功能性高分子合成中非常重要。例如,可向反应性单体中引入官能团(如F)而制成各种功能性单体,用其进行均聚和共聚,则得“反应性聚合物”。向反
反应性单体 :

从有 机化学角度看,能进行加成聚合的单体,称为反 应性单体。按结构可分为两种。其一是具有反应 性基团双键的单体;其二是开环,进行聚合的环 状单体等,均属于反应性单体。它在功能性高分子合成中非常重要。例如,可向反应性单体中引 入官能团(如F)而制成各种功能性单体,用其进 行均聚和共聚,则得“反应性聚合物”。向反应性 聚合物中引入F,则生成功能高聚物。


最重要的反应性单体及其反应如下:由乙 烯基酰氯[1]可制取[2]、[3]。
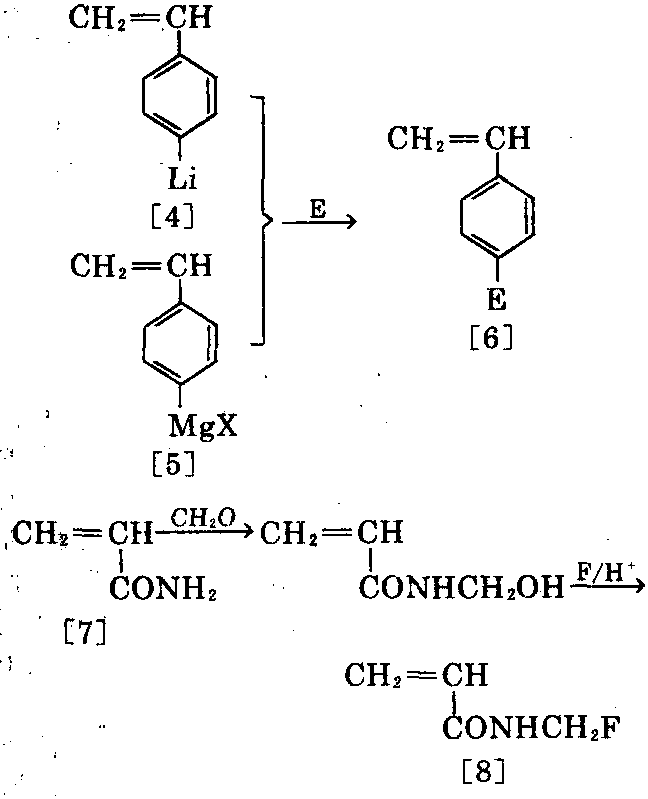
由锂代苯乙烯[4]和卤镁基苯乙烯[5](E为 亲电子试剂)可发生反应,生成[6]。
含环氧基、N-羟甲基、氯甲基、醛基、氯基 等结构单体比较稳定,利于贮存。此外,由丙烯 酰胺[7]出发可合成[8]。
已知的重要反应性单体还有多种,如含 —OCOCH2Cl—OCOCH2Br的丙烯酸酯及苯 乙烯衍生物;含有—CHO基的丙烯醛[9]及 —NH2基的苯乙烯[10]等。
客服热线:
