法老酮
浏览: 0
导读:法老酮 : 2-Cyclohexyl-1,6-heptadien-3-onePharaone法老酮外观为液体,沸点70℃/5.3kPa,它具有青香、菠萝香气,果香和格蓬样的香气。瑞士GIV公司生产法老酮,其外观为无色至淡黄色液体,闪点112℃。市售品的法老酮是用DPG(一缩二丙二醇)稀释的10%溶液。制造法老酮的方法是,以环己基乙醛和甲醛为原料,与62%的硫酸一起加至二乙胺
法老酮 :

2-Cyclohexyl-1,6-heptadien-3-one
Pharaone
法老酮外观为液体,沸点70℃/5.3kPa,它具有青香、菠萝香气,果香和格蓬样的香气。
瑞士GIV公司生产法老酮,其外观为无色至淡黄色液体,闪点112℃。市售品的法老酮是用DPG(一缩二丙二醇)稀释的10%溶液。
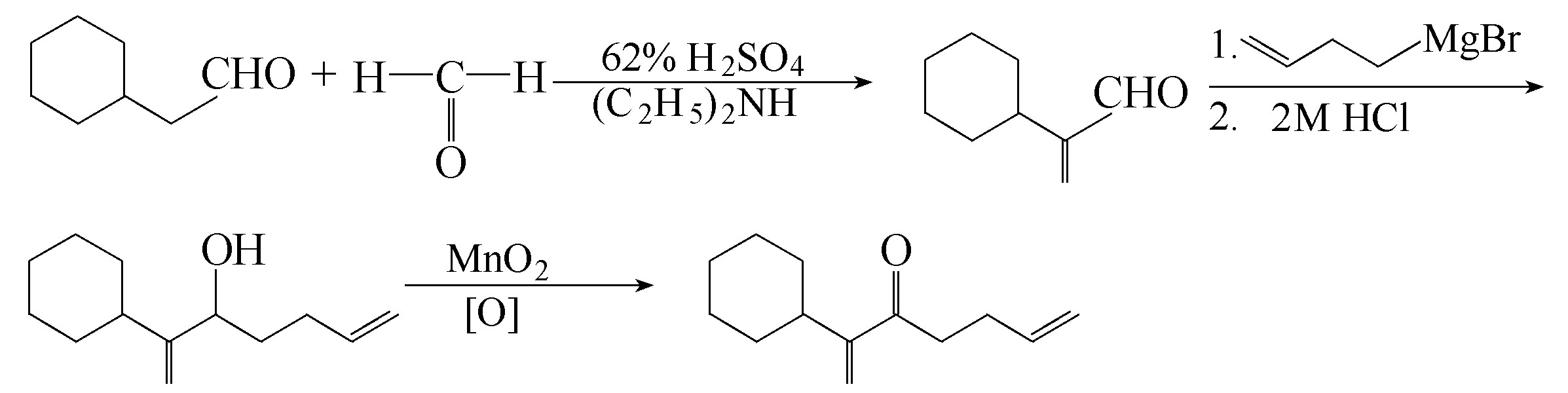
制造法老酮的方法是,以环己基乙醛和甲醛为原料,与62%的硫酸一起加至二乙胺中反应,得到2-环己基-2-丙烯-1-醛。后者再与1-丁烯基溴化镁进行格氏反应增长碳链,再经盐酸溶液水解,得到2-环己基-1,6庚二烯-3-醇。最后再在己烷中用二氧化锰氧化,除去溶剂后,再经真空蒸馏,便可获得纯净的产品(欧洲专利1063229)。

法老酮的香气非常强烈,且扩散性也强,用于香精配方中能对头香和体香起到提升的作用,它适用于多种香精配方中,尤宜适用于柑橘型、花香型、果香型、青香型、木香型、田园型和馥奇型等香精配方中。
法老酮主要用于高档日化香精配方中,推荐用量为0.1%~2.5%。
法老酮的分子结构中存在两个终端双键,性质不够稳定,容易发生聚合作用,故商业产品不仅需用溶剂稀释,还须添加适当稳定剂使之稳定。
客服热线:
