月桂烯醇
浏览: 3
导读:月桂烯醇 : 又称2-甲基-6-亚甲基-7-辛烯-2-醇。无色粘性液体。有柠檬样香气。相对分子质量154.25。相对密度0.89。沸点213℃。折射率1.4490。不溶于水,溶于乙醇、乙醚和油脂。易聚合,使粘度增加,香气降低。用途:香料,调制花香型化妆品用香精及皂用香精;调制柑橘型香精;制备二氢月桂烯醇和新铃兰醛的中间体。制法:①以β-蒎烯
月桂烯醇 :

又称2-甲基-6- 亚甲基-7-辛烯-2-醇。无色 粘性液体。有柠檬样香气。相对分 子质量154.25。相对密度0.89。沸 点213℃。折射率1.4490。不溶于 水,溶于乙醇、乙醚和油脂。易聚 合,使粘度增加,香气降低。
用途:香料,调制花香型化妆 品用香精及皂用香精;调制柑橘型香精;制备二 氢月桂烯醇和新铃兰醛的中间体。
制法:①以β-蒎烯为原料,在700℃下裂 解为月桂烯,在25~30℃下与无水氯化氢反应, 生成氯代月桂烯,再在95~100℃下,用碳酸钙脱 氯,水合,可制得[1]。

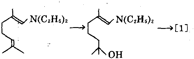
②以香叶基胺为原料,经羟基化、氧化、转 位,可制得[1]。

客服热线:
