胡椒基丙酮
浏览: 0
导读:胡椒基丙酮 : 3,4-Methylenedioxy benzyl acetone4-(3,4-Methylenedioxyphenyl)-2-butanoneHeliotropyl acetonePiperonyl acetoneDulcinyl胡椒基丙酮有温柔的花香香气,覆盆子酮似的香韵,并有茴香和木香香调。外观为结晶,熔点55℃,沸点164~165℃/1.5kPa。根据有关方面提供的资料,胡椒基丙酮的急性毒性数据:口服LD504.0g/kg(
胡椒基丙酮 :

3,4-Methylenedioxy benzyl acetone
4-(3,4-Methylenedioxyphenyl)-2-butanone
Heliotropyl acetone
Piperonyl acetone
Dulcinyl
胡椒基丙酮有温柔的花香香气,覆盆子酮似的香韵,并有茴香和木香香调。外观为结晶,熔点55℃,沸点164~165℃/1.5kPa。
根据有关方面提供的资料,胡椒基丙酮的急性毒性数据:口服LD504.0g/kg(大鼠),皮试LD50>5g/kg(兔子)。
美国IFF公司生产胡椒基丙酮,其产品规格为:含量不少于97%(色谱法),最低熔点为47℃。
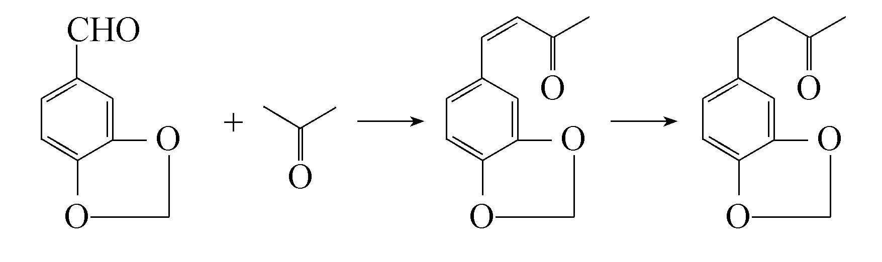
胡椒基丙酮的工业生产方法是,以洋茉莉醛为原料,先在碱性溶液里与丙酮缩合,再选择性加氢而成。

胡椒基丙酮主要用于配制花香型香精,适用于香水、香皂和化妆品的加香,在日化香精中的用量在15%以内。IFRA没有限制规定。
胡椒基丙酮被FEMA认定为GRAS,欧洲理事会将胡椒基丙酮用量为45mg/kg时,列入可用于食物中而对人体无害的人造香料物质表中。
客服热线:
