方形酸
浏览: 1
导读:方形酸 : 又称3,4-二羟基-3-环丁烯-1,2-二酮。无色结晶或结晶性粉末。无嗅。相对分子质量114.06。熔点293℃(分解)。微溶于水(25℃时3),易溶于二甲基甲酰胺及二甲基亚砜,不溶于其他有机溶剂。对眼睛、皮肤有刺激性。用途: 本品反应性很强,用作功能性色素的原料,生产有机光导体、光盘用记录介质;医药原料,生产抗癌药、抗溃疡
方形酸 :

又称3,4-二羟 基-3-环丁烯-1,2-二酮。 无色结晶或结晶性粉末。无 嗅。相对分子质量114.06。熔点 293℃(分解)。微溶于水(25℃ 时3),易溶于二甲基甲酰胺及 二甲基亚砜,不溶于其他有机 溶剂。对眼睛、皮肤有刺激性。
用途: 本品反应性很强,用作功能性色素 的原料,生产有机光导体、光盘用记录介质;医 药原料,生产抗癌药、抗溃疡药;树脂稳定剂,用 于聚乙烯、聚丙烯,提高其耐油性,降低其挥发 性;植物生长调节剂。
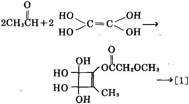
制法: ①以乙醛和四羟基乙烯为原料,经 下列反应,可制得[1]。

② 以3-羟基-3-环丁烯-1,2-二 酮(moniliformin)为原料,先溴化,后水解,可 制得[1]。

③以六氯丁二烯及吗啉为原料,可制 得[1]。

④ 以一氧化碳为原料,电解还原,可制 得[1]。
⑤以3-环丁烯-1-酮乙酸酯为原料,与 二乙胺缩合,再溴化,氧化,最后水解,可制得[1]。


客服热线:
