阿弗曼酮
浏览: 13
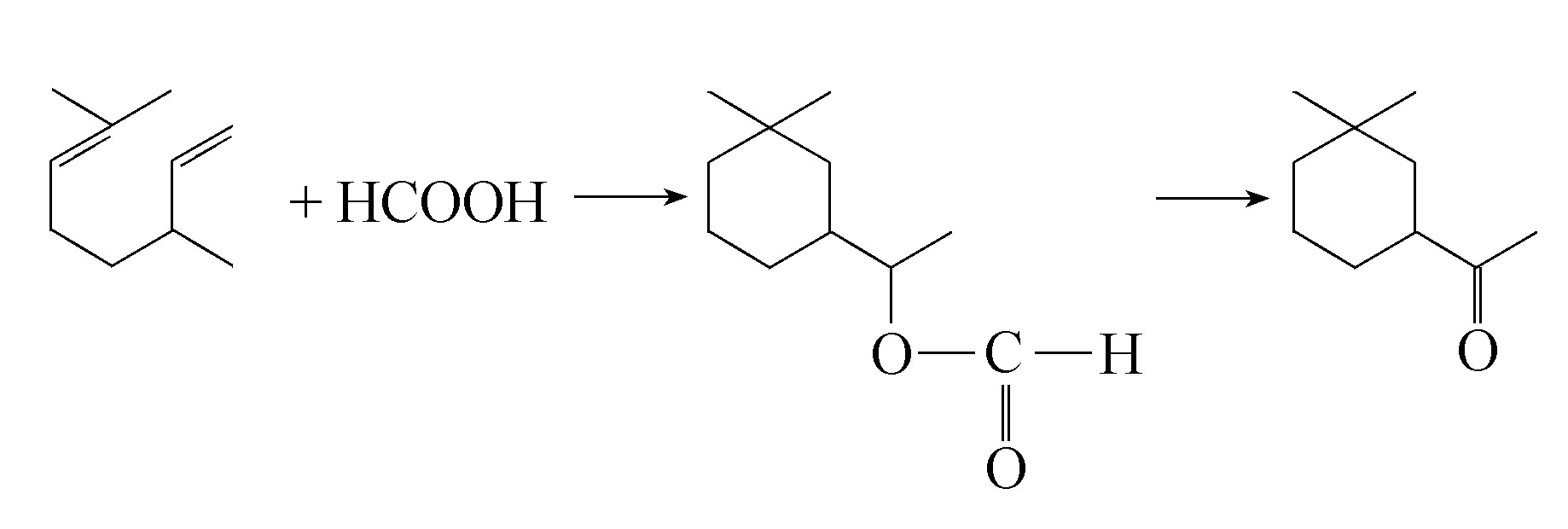
导读:阿弗曼酮 : 3,3-Dimethylcyclohexyl methyl ketone1-Acetyl-3,3-dimethylcyclohexaneHerbac阿弗曼酮有强烈的木香和草香香气。外观为液体,沸点89℃/1.9kPa,为异构体之混合物。美国IFF公司生产阿弗曼酮,其产品规格为:含量不少于90%(色谱法,系异构体之总量),d2040.895~0.903,n20D1.450~1.455,闪点70℃。阿弗曼酮是由二氢月桂
阿弗曼酮 :

3,3-Dimethylcyclohexyl methyl ketone
1-Acetyl-3,3-dimethylcyclohexane
Herbac
阿弗曼酮有强烈的木香和草香香气。外观为液体,沸点89℃/1.9kPa,为异构体之混合物。
美国IFF公司生产阿弗曼酮,其产品规格为:含量不少于90%(色谱法,系异构体之总量),d2040.895~0.903,n20D1.450~1.455,闪点70℃。
阿弗曼酮是由二氢月桂烯和甲酸为原料,经二步反应制成的[美国专利3847975;Journ.org.chem.1972,37(6),920]。

阿弗曼酮可用于香水、香皂、化妆品、空气清新剂等日化香精配方中,用量在10%以内。IFRA没有限制规定。
客服热线:
