α-紫罗兰酮
浏览: 2
导读:α-紫罗兰酮 : 4-(2,6,6-Trimethyl-2-cyclohexen-1-yl)-3-buten-2-oneα-IononeIrisone pureα-紫罗兰酮在自然界里并不多见,它仅少量存在于某些精油中。α-紫罗兰酮有花香香气,香气酷似紫罗兰花,还有木香气息,并伴有果香香韵。外观为液体,沸点121~122℃/1.3kPa,80℃/130Pa。根据RIFM提供的资料,α-紫罗兰酮的急性毒性数据:
α-紫罗兰酮 :

4-(2,6,6-Trimethyl-2-cyclohexen-1-yl)-3-buten-2-one
α-Ionone
Irisone pure
α-紫罗兰酮在自然界里并不多见,它仅少量存在于某些精油中。
α-紫罗兰酮有花香香气,香气酷似紫罗兰花,还有木香气息,并伴有果香香韵。外观为液体,沸点121~122℃/1.3kPa,80℃/130Pa。
根据RIFM提供的资料,α-紫罗兰酮的急性毒性数据:口服LD504.6g/kg(大鼠)。
商品规格
| 制造商 | 品级 | 含量(色谱法)/% | dt2t1 | t2/t1 | n20D | 闪点/℃ |
| H&R(1988) | alpha100% | 85(α-) | 0.928~
0.932 | 25/25 | 1.496~
1.501 | >100 |
| H&R(1988) | Pure100% | 60~70(α-);25~35(β -) | 0.931~
0.937 | 25/25 | 1.502~
1.507 | >100 |
| GIV(1987) | Irisone pure | 60~80(α-);10~40(β -) | 0.931~
0.938 | 20/4 | 1.502~
1.507 | >100 |
| BASF(1988) | alpha-Ionone | 90(α-) | 0.927~
0.933 | 25/25 | 1.497~
1.507 | 115 |
| BBA(1990) | alpha-800 | 81(α-);9(β -) | ~0.931 | 20/20 | ~1.502 | 110 |
| BBA(1990) | alpha-700 | 70(α-);20(β -) | ~0.936 | 20/20 | ~1.502 | 110 |
| BBA(1990) | alpha-600 | 60(α-);30(β -) | ~0.934 | 20/20 | ~1.506 | 110 |
| Quest(1989) | Ionone | 92(总量);65(α-) | ~0.932 | 20/20 | ~1.503 | >100 |
| IFF(1992) | alpha | 65~85(α-);92(总量) | 0.927~
0.935 | 25/25 | 1.499~
1.504 | >100 |
| IFF(1992) | 100% | 60~80(α-);92(总量) | 0.929~
0.937 | 25/25 | 1.501~
1.506 | >100 |
| IFF(1992) | extra | 60~75(α-);92(总量) | 0.930~
0.938 | 25/25 | 1.501~
1.506 | >100 |
| Rus(1990) | Ionone | 91(总量) | 0.936~
0.941 | 20/4 | 1.502~
1.505 | 115 |
传统的制造紫罗兰酮的工业方法是以柠檬醛和丙酮为原料,先在稀碱溶液里缩合成为假性紫罗兰酮,然后再在硫酸或磷酸的存在下进行环化而成。

在任何情况下,环化产物都是α-紫罗兰酮和β -紫罗兰酮两种异构体的混合物。通常使用较低浓度的硫酸(60%~65%)和磷酸(85%),则环化产物以α-体为主;如使用95%以上的硫酸或90%以上的磷酸,环化产物以β -体为主。
由于假性紫罗兰酮不仅是合成紫罗兰酮的必不可少的中间体,它还是合成维生素A和B的中间体,因此需求量很大,如仅仅采用柠檬醛合成路线的话,则资源明显不足,难以满足供应,为此西方国家开发了两条自脱氢芳樟醇合成假性紫罗兰酮的工业生产方法。
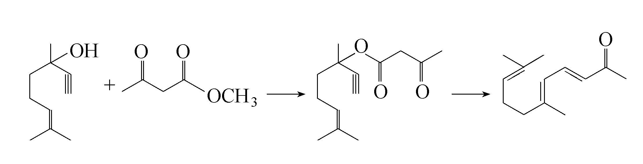
A. Hoffman-La Roche公司采用脱氢芳樟醇与甲基异丙烯基醚缩合的路线[Helv.Chim.acta;1967,50(4),1158]。

B. BASF公司采用脱氢芳樟醇与乙酰乙酸酯酯化,再高温脱二氧化碳、重排的方法(德国专利1286018)。

由假性紫罗兰酮环化成为α-紫罗兰酮,我国一般均使用62%的硫酸作为催化剂,在苯或甲苯的存在下于20~35℃反应。反应条件虽然温和,但需耗用大量的硫酸。国外有人研究使用少量的磷酸为催化剂,于110℃在甲苯中仅反应10~30min,即可获得高含量的α-紫罗兰酮(前苏联专利695164)。
α-紫罗兰酮作为大宗性香料,在日化香精中得到广泛使用,其在配方中用量可在10%以内。IFRA没有限制规定。
α-紫罗兰酮被FEMA认定为GRAS,FEMA编号2594,FDA批准食用。被列入可暂时允许使用的人造食用香料。
客服热线:
