甲基柏木酮
浏览: 3
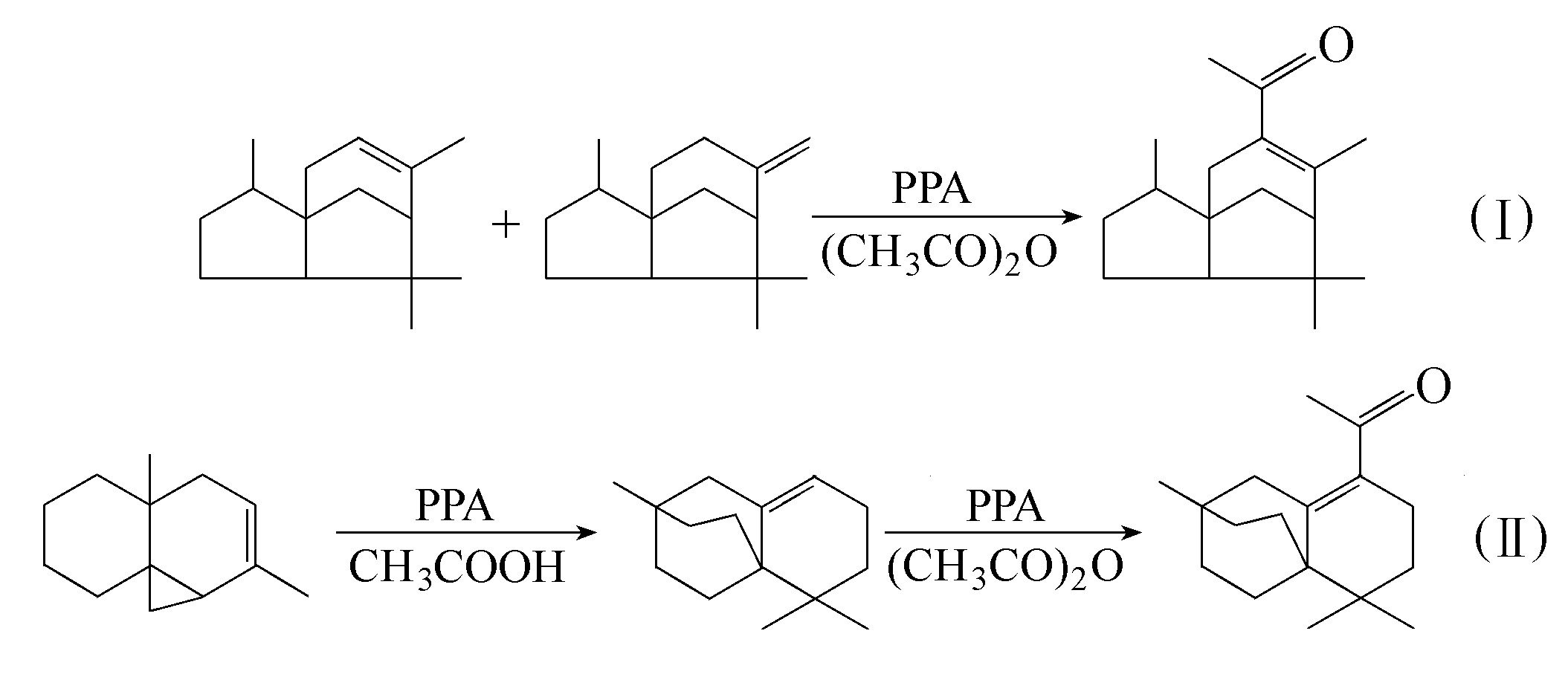
导读:甲基柏木酮 : 2,2,6,10-Tetramethyl-9-acetyltricyclo[5.3.1.03,7]-9-undecene(Ⅰ)2,2,8-Trimethyl-5-acetyltricyclo[6.2.2.01,6]-5-dode cene(Ⅱ)Methyl cedryl ketoneAcetyl cedreneCetone KVVertofix coeurMethyl cedryloneWoodyflorLignofix甲基柏木酮又常称为乙酰基柏木烯,它有强烈持久的木香香气,龙涎香似的
甲基柏木酮 :

2,2,6,10-Tetramethyl-9-acetyltricyclo[5.3.1.03,7]-9-undecene(Ⅰ)
2,2,8-Trimethyl-5-acetyltricyclo[6.2.2.01,6]-5-dode cene(Ⅱ)
Methyl cedryl ketone
Acetyl cedrene
Cetone KV
Vertofix coeur
Methyl cedrylone
Woodyflor
Lignofix
甲基柏木酮又常称为乙酰基柏木烯,它有强烈持久的木香香气,龙涎香似的香韵。外观为液体,沸点105~110℃/80Pa,为异构体之混合物。
根据RIFM提供的资料,甲基柏木酮的急性毒性数据:口服LD505.21ml/kg(大鼠),皮试LD50>2g/kg(兔子)。
商品规格
| 制造商 | 组成(色谱法)/% | dt2t1 | t2/t1 | n20D | 闪点/℃ |
| Roure | — | 1.020~1.030 | 20/20 | 1.515~1.520 | 94 |
| IFF(1992) | 65-异构体总量 | 1.001~1.011 | 20/4 | 1.517~1.524 | >100 |
| 40-酮Ⅰ | |||||
| Quest(1989) | — | 0.998~1.004 | 20/20 | 1.515~1.519 | >100 |
| TAK(1987) | 55-酮Ⅰ和Ⅱ | 0.990~1.090 | 25/25 | ~1.510 | 150 |
| Dragoco(1990) | — | 0.997~1.008 | 20/4 | 1.512~1.520 | >100 |
甲基柏木酮是以柏木油脱脑后的柏木烯为原料制成的。在该萜烯中,α-柏木烯为40%~50%,β-柏木烯为5%~15%,罗汉柏烯为40%~50%。以多聚磷酸为催化剂,使用醋酸酐对该混合萜烯进行乙酰化反应,即可获得甲基柏木酮。在实际反应过程中, α-柏木烯和β-柏木烯的乙酰化产物为酮Ⅰ;而罗汉柏烯则是先在酸性条件下发生异构化反应,再乙酰化后成为酮Ⅱ[美国专利3678119;J.Org.Chem;1972,37(1),6]。

评香分析研究表明,酮Ⅰ的香气较弱,而酮Ⅱ的香气不仅强烈,而且有龙涎香的香气特征。因此甲基柏木酮产品质量的优劣,主要取决于酮Ⅱ的含量。毫无疑问,为了保证和提高产品的香气质量,首要的任务是要设法提高原料中罗汉柏烯的含量。
甲基柏木酮是大宗香料之一,现世界年产量已在2000t以上,它是柏木油系统合成香料中应用最广的产品。
甲基柏木酮可广泛用于香水香精、化妆品香精、皂用香精等日化香精配方中,在配方中用量在20%以内。IFRA没有限制规定。
客服热线:
