双氯醇胺
浏览: 2
导读:双氯醇胺 : 又称1-(4-氨基-3,5-二氯苯基)-2-叔丁基氨基乙醇、4-氨基-3,5-二氯-α-{[(1,1-二甲基乙基)氨基]甲基}苯甲醇、克喘素、氨哮素。白色结晶或结晶性粉末。无嗅。有苦味。相对分子质量277.18。熔点172~176℃(分解)。不溶于乙醚,微溶于氯仿和丙酮,易溶于水、甲醇和乙醇。大鼠经口LD5035.3mg/kg。用途: 本品为苯基乙醇
双氯醇胺 :

又称1-(4-氨 基-3,5-二氯苯基)-2-叔丁基氨基乙醇、 4-氨基-3,5-二氯-α-{[(1,1-二甲基乙 基)氨基]甲基}苯甲醇、克喘素、氨哮素。白色结 晶或结晶性粉末。无嗅。有苦味。相对分子质量 277.18。熔点172~176℃(分解)。不溶于乙醚,微 溶于氯仿和丙酮,易溶于水、甲醇和乙醇。大鼠 经口LD5035.3mg/kg。
用途: 本品为苯基乙醇胺的衍生物,最 初用作治咳平喘药物,后来发现本品对家畜 及宠物有抑制肥肉、促进瘦肉生长的功能,并且 可降低饲料消耗,因而用作增瘦减肥的饲料添 加剂。
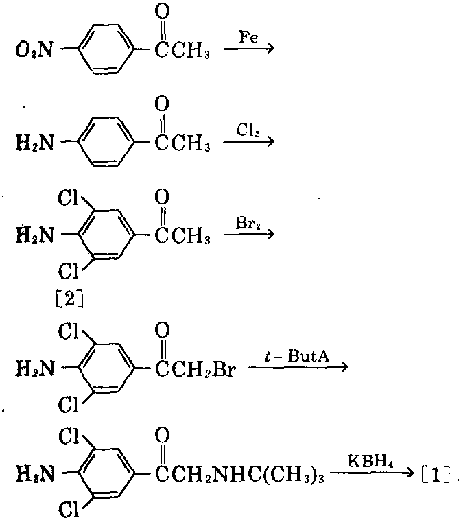
制法:①以对硝基苯乙酮为原料,在盐酸 溶液中,用铁粉(或二氯化锡)还原,生成对氨基 苯乙酮,再在乙酸溶液中通入氯气进行氯化,生 成4-氨基-3,5-二氯苯乙酮[2],再在三氯甲 烷存在下,进行溴化,生成4-氨基-3,5-二氯苯 乙酮溴,再与叔丁胺反应,生成4-氨基-3,5- 二氯叔丁胺基苯乙酮,在甲醇溶液中,用硼氢化 钾还原,可制得[1]。

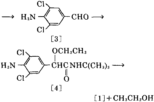
② 以对硝基苯甲醛为原料,在盐酸溶液 中用铁粉还原,生成对氨基苯甲醛,进一步氯 化,生成4-氨基-3,5-二氯苯甲醛[3],[3]在 二氯甲烷存在下,与乙醇及叔丁基异氰反应, 生成[4],进一步用硼氢化钾还原,可制 得[1]。
![]()

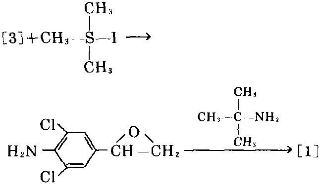
③在上法制得[3]后,与碘化三甲硫反应, 生成4-氨基-3,5-二氯苯基环氧乙烷,再与 叔丁胺反应,可制得[1]。

④ 以对氨基苯磺酰胺为原料,在过氧化氢 存在下,用氯化氢氯化,生成4-氨-3,5-二氯 苯磺酰胺,与硫酸作用,脱去磺酰胺基后,再与 溴反应,生成4-溴-2,6-二氯苯胺,与镁反 应,生成格氏试剂,再与叔丁氨基乙醛反应,最 后脱溴化镁,可制得[1]。

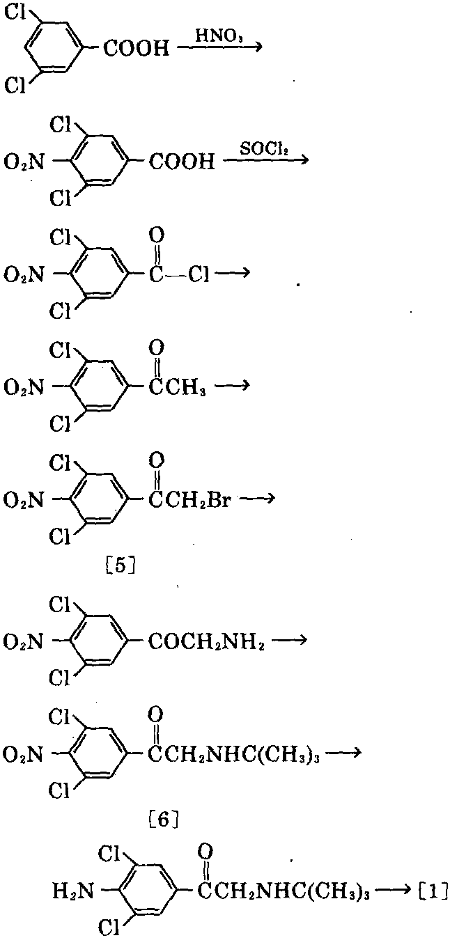
⑤以3,5-二氯苯甲酸为原料,在硝酸与硫 酸组成的混酸中硝化,生成4-硝基-3,5-二氯 苯甲酸,再与亚硫酰氯反应,生成4-硝基- 3,5-二氯苯甲酰氯,与甲基氯化镁反应,甲基 化,生成4-硝基-3,5-二氯苯乙酮,再与溴反 应,生成4-硝基-3,5-二氯苯乙酮溴[5],[5] 与氨反应,生成4-硝基-3,5-二氯苯乙酮胺, 再与叔丁醇反应,生成4-硝基-3, 5-二氯叔丁氨基苯乙酮[6],最后用硫化钠(或 铁粉)还原,进一步用硼氢化钾还原,可制 得[1]。

⑥在用上法制得[5]后,直接与叔丁胺反 应生成[6],然后用硫化钠或铁粉还原,将硝基 还原为氨基,最后再用硼氢化钾将羰基还原为 羟基,可制得[1]。
[5]+(CH3)3CNH2→[6]→
⑦在用①法制得[2]后,在二烷中与二 氧化硒反应,被氧化,生成4-氨基-3,5-二氯 苯甲酰基甲醛,在硼氢化钾作用下进一步与叔 丁胺反应,可制得[1]。

⑧在用①法制得[2]后,与溴反应,生成4- 氨基-3,5-二氯苯乙酮溴,再用硼氢化钾还 原,生成4-氨基-3,5-二氯苯基环氧乙烷,再 按③法与叔丁胺反应,可制得[1]。

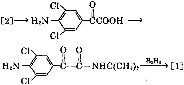
⑨在用①法制得[2]后,用高锰酸钾氧化, 生成4-氨基-3,5-二氯苯甲酰基甲酸,再与 叔丁胺反应,生成4-氨基-3,5-二氯苯甲酰 基叔丁基甲酰胺,最后用乙硼烷还原,可制 得[1]。

⑩ 以对硝基苯乙酮为原料,溴化,生成对 硝基苯乙酮溴,与叔丁胺反应,生成对硝基叔丁 氨基苯乙酮[7],在盐酸溶液中,用铁粉还原,生 成对氨基苯乙酰基叔丁胺,再用硼氢化钠进一 步还原,生成对氨基-1-(2-叔丁氨基-1- 羟基)[8]苯,最后氯化,可制得[1]。


(11)在上法制得[7]后,在镍催化剂作用下, 加氢,生成[8],最后氯化,可制得[1]。
![]()
在②法中所用的叔丁基异氰,可用下法 制备:
![]()
在④法中所用的叔丁氨基乙醛,可用下法 制备:
(CH3)3CNH2+BrCH2CH(OC2H5)2→
(CH3)3CNHCH2CHO
客服热线:
