巴比土酸
浏览: 0
导读:巴比土酸 : 又称为2,4,6-(1H,3H,5H)吡啶三酮、2,4,6-三氧代六氢化吡啶、丙二酰脲。本品为一种酰脲,其所以称为酸,是因为它能和金属形成盐。从水中析出者为白色棱柱状斜方晶系晶体。在空气中易风化。相对分子质量128.09。熔点248℃。沸点260℃(分解)。微溶于冷水、乙醇,溶于乙醚,易溶于热水及稀酸。有腐蚀性及刺激性。大鼠经
巴比土酸 :

又称为 2,4,6-(1H,3H,5H)吡啶 三酮、2,4,6-三氧代六氢 化吡啶、丙二酰脲。本品为 一种酰脲,其所以称为酸, 是因为它能和金属形成盐。 从水中析出者为白色棱柱 状斜方晶系晶体。在空气 中易风化。相对分子质量 128.09。熔点248℃。沸点 260℃(分解)。微溶于冷水、 乙醇,溶于乙醚,易溶于热水及稀酸。有腐蚀性 及刺激性。大鼠经口LD505000mg/kg。
用途: 用作塑料、农药、有机合成的原料;用 作染料、医药(催眠药巴比妥、苯巴比妥、维生素 B12等)的中间体;聚合催化剂。
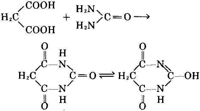
制法:①氢脲酸与硝酸反应。
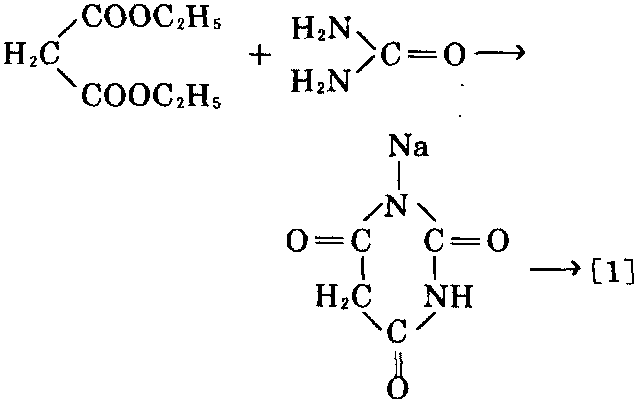
②以丙二酸二乙酯和尿素为原料,在乙醇 纳缩合剂存在下进行缩合反应。将尿素溶于乙 醇溶液中,加入乙醇钠,再加入丙二酸二乙酯, 加热至80℃,搅拌回流,反应生成钠盐,蒸馏回 收乙醇,再加入盐酸中和,冷却结晶,析出 粗[1]。过滤,用冷水洗涤,离心干燥,然后脱色、 重结晶精制,可制得[1]。


客服热线:
