水杨醇
浏览: 3
导读:水杨醇 : 又称2-羟基苯甲醇、邻羟基苄醇、邻羟甲基苯酚、Saligenol。从苯中析出者为白色叶片状结晶,从水中析出者为白色针状或棱柱状结晶,相对分子质量124.14。相对密度1.1613(25℃)。熔点87℃。100℃时升华。不溶于石油醚,溶于水、乙醇、乙醚、苯、氯仿。遇硫酸呈红色。本品放置过程中易聚合,不稳定。用途: 用作织物的硬化
水杨醇 :

又称2-羟基 苯甲醇、邻羟基苄醇、邻羟甲基苯 酚、Saligenol。从苯中析出者为 白色叶片状结晶,从水中析出者 为白色针状或棱柱状结晶,相对 分子质量124.14。相对密度1.1613 (25℃)。熔点87℃。100℃时升华。 不溶于石油醚,溶于水、乙醇、乙醚、苯、氯仿。遇 硫酸呈红色。本品放置过程中易聚合,不 稳定。
用途: 用作织物的硬化剂、抗静电剂;农业 上用作除草剂、杀虫剂(蔬果磷)等的中间体;医 药用作抗过敏药及消炎药物的中间体;香料中 间体等。
制法:①以苯酚和甲醛为原料,在乙酸锌 作用下回流缩合,过滤后,滤液减压蒸馏,可得 粗制[1],再在苯或水中重结晶。或将粗制[1]升 华精制,均可得精制[1]。
②以水杨醛及甲醛为原料,在碱溶液中及 硝酸银存在下,进行回流,可得粗制[1],然后精 制,可获精制[1]。
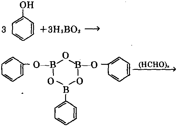
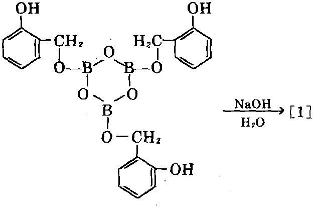
③ 以苯酚及多聚甲醛为原料,以硼酸为催 化剂,先使苯酚在二甲苯溶液中在硼酸的催化 作用下,于145℃反应,生成三苯基环亚硼酸,再 在60℃下加入多聚甲醛,在搅拌下反应。减压蒸 去二甲苯,加入稀碱液,使甲醛歧化。再用盐酸 酸化,分出有机相,用乙醚萃取,减压蒸馏回收 乙醚,进一步浓缩,析出粗制[1],再重结晶或升 华精制,可获得精制[1]。


④使水杨醇的葡萄糖苷乳化水解,可得粗 制[1]。
⑤苯酚与亚甲基氯、稀碱液一起加热反 应,可得粗制[1],然后精制。

客服热线:
