水杨醛
浏览: 37
导读:水杨醛 : 又称邻羟基苯甲醛。无色透明油状液体。有特殊气味及苦杏仁味。与水蒸气一起挥发。相对分子质量122.12。相对密度1.1674。熔点-7℃。沸点196.8℃、88.7℃(2.666×103Pa)、86℃(2.400×103Pa)。闪点76℃。折射率1.5735。其蒸气530℃在空气中自燃。微溶于水(86℃时1.72)、溶于苯(12℃时64.6)、丙酮,与乙醇、乙醚混溶。
水杨醛 :

又称邻羟基 苯甲醛。无色透明油状液体。有特 殊气味及苦杏仁味。与水蒸气一起 挥发。相对分子质量122.12。相对 密度1.1674。熔点-7℃。沸点196.8℃、 88.7℃(2.666×103Pa)、86℃ (2.400×103Pa)。闪点76℃。折射 率1.5735。其蒸气530℃在空气中自燃。微溶于 水(86℃时1.72)、溶于苯(12℃时64.6)、丙酮,与 乙醇、乙醚混溶。其硫酸溶液呈橙色。与金属离子 生成螯合物。大鼠经口LD501000mg/kg。
用途: 农药杀虫剂“杀抗松”的原料;香 料“香豆素”及“二氢香豆素”的原料;灯油添加 剂;电镀光亮剂;医药中间体;树脂原料及树脂改 性剂,可提高树脂耐热性;引擎油、润滑油、工质 油和石油的稳定剂,防止氧化;有机合成及染料 中间体等。
制法:①以苯酚为原料,在氢氧化钠溶液 中与三氯甲烷在60℃下反应,蒸出多余的三氯 甲烷,生成水杨醛钠盐,加入盐酸,用水蒸气蒸 馏,可得粗制[1]及对羟基苯甲醛,经分离后,进 一步水洗,精馏,可得精制[1]。

② 以苯酚为原料,与硼酸反应,制得酚硼, 与聚甲醛反应,水解,生成水杨醇,最后氧化,可 制得[1]。

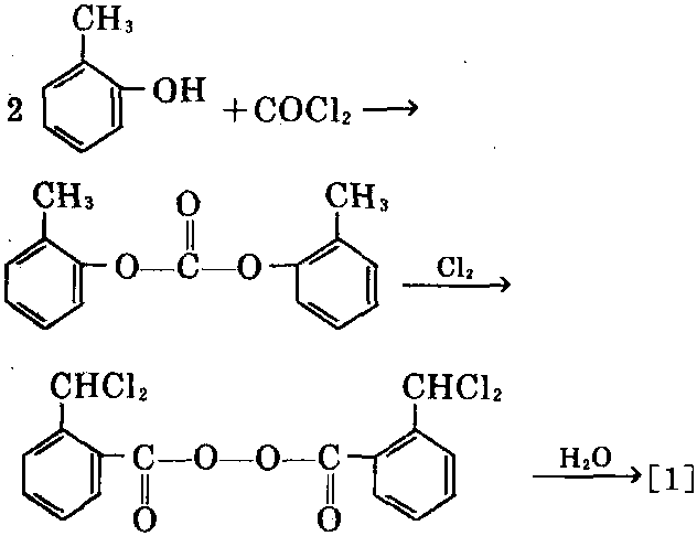
③以邻甲酚为原料,与光气(或氧氯化磷) 反应,生成甲基过氧苯甲酰,进一步与氯反应,生 成二氯甲基过氧苯甲酰,最后水解,可制得[1]。

④ 以酚钠为原料,与氯仿和氢氧化钠反 应,可制得[1]。此法与①类似。
⑤ 以水杨酸为原料,电解还原,可制 得[1]。
⑥ 以苯酚为原料,在酸催化剂(盐酸和无 水氯化锌)作用下,与甲醛反应,生成邻氯甲基 苯酚及对氯甲苯基酚,分离后,再按①法,可制 得[1]。
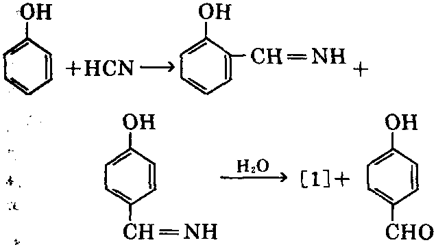
⑦ 以苯酚为原料,在盐酸中,在三氯化铝 的催化作用下,与氰氢酸反应,生成邻亚甲氨基 苯酚及对亚甲氨基苯酚,使二者分离,水解,可 制得[1]。或水解后,再分离。

⑧以苯酚为原料,在三氯化铝-氯化亚铜 的催化作用下,在盐酸中与一氧化碳反应,可制 得[1],同时生成对羟基苯甲醛。

客服热线:
